Online Database of Chemicals from Around the World

多瘤病毒肽抗原Mt162-176
[CAS# 122560-16-1]

供应商
CAS#: 122560-16-1
产品: 多瘤病毒肽抗原Mt162-176
暂时没有厂家供应该产品。
基本信息
产品名称 多瘤病毒肽抗原Mt162-176
英文名 Polyoma Peptide Antigen Mt162-176
别名 L-Methionine, L-Threonyl-L-Arginyl-L-Alpha-Aspartyl-L-Valyl-L-Leucyl-L-Asparaginyl-L-Leucyl-L-Tyrosyl-L-Alanyl-L-Alpha-Aspartyl-L-Phenylalanyl-L-Isoleucyl-L-Alanyl-L-Seryl-; L-Threonyl-L-Arginyl-L-Alpha-Aspartyl-L-Valyl-L-Leucyl-L-Asparaginyl-L-Leucyl-L-Tyrosyl-L-Alanyl-L-Alpha-Aspartyl-L-Phenylalanyl-L-Isoleucyl-L-Alanyl-L-Seryl-L-Methionine; Mt162-176 Antigen
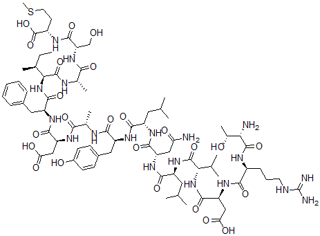
分子结构 CAS 登录号:122560-16-1, 多瘤病毒肽抗原Mt162-176
分子式 C77H121N19O24S
分子量 1728.98
CAS 登录号 122560-16-1
分子行输入简码 SMILES [C@@H](N)(C(=O)N[C@H](C(=O)N[C@H](C(=O)N[C@H](C(=O)N[C@H](C(=O)N[C@H](C(=O)N[C@H](C(=O)N[C@H](C(=O)N[C@@H](C)C(=O)N[C@H](C(=O)N[C@H](C(=O)N[C@H](C(=O)N[C@@H](C)C(=O)N[C@H](C(=O)N[C@H](C(=O)O)CCSC)CO)[C@@H](C)CC)CC1=CC=CC=C1)CC(=O)O)CC2=CC=C(C=C2)O)CC(C)C)CC(=O)N)CC(C)C)C(C)C)CC(=O)O)CCCNC(N)=N)[C@H](O)C
国际化学标识码 InChI 1S/C77H121N19O24S/c1-13-39(8)61(75(118)84-41(10)63(106)94-55(35-97)72(115)86-47(76(119)120)25-27-121-12)96-70(113)51(30-43-18-15-14-16-19-43)90-69(112)53(33-57(101)102)87-62(105)40(9)83-65(108)50(31-44-21-23-45(99)24-22-44)89-66(109)48(28-36(2)3)88-68(111)52(32-56(78)100)91-67(110)49(29-37(4)5)93-74(117)60(38(6)7)95-71(114)54(34-58(103)104)92-64(107)46(20-17-26-82-77(80)81)85-73(116)59(79)42(11)98/h14-16,18-19,21-24,36-42,46-55,59-61,97-99H,13,17,20,25-35,79H2,1-12H3,(H2,78,100)(H,83,108)(H,84,118)(H,85,116)(H,86,115)(H,87,105)(H,88,111)(H,89,109)(H,90,112)(H,91,110)(H,92,107)(H,93,117)(H,94,106)(H,95,114)(H,96,113)(H,101,102)(H,103,104)(H,119,120)(H4,80,81,82)/t39-,40-,41-,42+,46-,47-,48-,49-,50-,51-,52-,53-,54-,55-,59-,60-,61-/m0/s1
国际化学标识检索码 InChIKey PSMMDIJCYNEULF-CASQCAGJSA-N
物理化学性质
密度 1.43g/cm3 (计算值)
市场分析报告
请浏览多瘤病毒肽抗原Mt162-176市场分析报告总目录
相关产品
N,N'-二(3-乙基氨基丙基)辛烷-1,8-二胺  去甲氯丙嗪  马盖宁H  1-[(6R)-9,9-二甲基-9-铵双环[4.2...  [(E)-己-1-烯基]-氧代-[(2S)-3-氧...  4-[二(2-氯乙基)氨基]-N,N-二甲基苯甲酰...  [(2S,5R)-5-(5-甲基-2,4-二氧代嘧...  1-[(2R,5S)-5-(羟基甲基)-2,5-二...  1-[(2R,5S)-5-(羟基甲基)四氢呋喃-2...  1-[(2R,5S)-5-(羟基甲基)四氢呋喃-2...  钐乙二胺四亚甲基膦酸盐  26-脱氧莫能星A  四硼酸酯  Lophirachalcone  1-(3,4-二氯-5-硝基呋喃-2-基)乙酮