Online Database of Chemicals from Around the World

[1-(羟基-(3-膦酰氧基丙氧基)磷酰)氧基-3-(3,7,11,15-四甲基棕榈酰氧基)丙-2-基]3,7,11,15-四甲基十六烷酸酯
[CAS# 122652-45-3]

供应商
CAS#: 122652-45-3
产品: [1-(羟基-(3-膦酰氧基丙氧基)磷酰)氧基-3-(3,7,11,15-四甲基棕榈酰氧基)丙-2-基]3,7,11,15-四甲基十六烷酸酯
暂时没有厂家供应该产品。
基本信息
产品名称 [1-(羟基-(3-膦酰氧基丙氧基)磷酰)氧基-3-(3,7,11,15-四甲基棕榈酰氧基)丙-2-基]3,7,11,15-四甲基十六烷酸酯
英文名 [1-(Hydroxy-(3-Phosphonooxypropoxy)Phosphoryl)Oxy-3-(3,7,11,15-Tetramethylhexadecanoyloxy)Propan-2-Yl] 3,7,11,15-Tetramethylhexadecanoate
别名 [1-[(Hydroxy-(3-Phosphonooxypropoxy)Phosphoryl)Oxymethyl]-2-(3,7,11,15-Tetramethylhexadecanoyloxy)Ethyl] 3,7,11,15-Tetramethylhexadecanoate; 3,7,11,15-Tetramethylhexadecanoic Acid [1-[(Hydroxy-(3-Phosphonooxypropoxy)Phosphoryl)Oxymethyl]-2-(3,7,11,15-Tetramethyl-1-Oxohexadecoxy)Ethyl] Ester; 3,7,11,15-Tetramethylpalmitic Acid [1-[(Hydroxy-(3-Phosphonooxypropoxy)Phosphoryl)Oxymethyl]-2-(3,7,11,15-Tetramethylhexadecanoyloxy)Ethyl] Ester
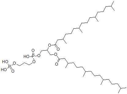
分子结构 CAS 登录号:122652-45-3, [1-(羟基-(3-膦酰氧基丙氧基)磷酰)氧基-3-(3,7,11,15-四甲基棕榈酰氧基)丙-2-基]3,7,11,15-四甲基十六烷酸酯
分子式 C46H92O12P2
分子量 899.17
CAS 登录号 122652-45-3
分子行输入简码 SMILES C(C(OC(CC(C)CCCC(C)CCCC(C)CCCC(C)C)=O)COC(CC(C)CCCC(C)CCCC(C)CCCC(C)C)=O)O[P](OCCCO[P](O)(O)=O)(O)=O
国际化学标识码 InChI 1S/C46H92O12P2/c1-36(2)18-11-20-38(5)22-13-24-40(7)26-15-28-42(9)32-45(47)54-34-44(35-57-60(52,53)56-31-17-30-55-59(49,50)51)58-46(48)33-43(10)29-16-27-41(8)25-14-23-39(6)21-12-19-37(3)4/h36-44H,11-35H2,1-10H3,(H,52,53)(H2,49,50,51)
国际化学标识检索码 InChIKey MGQIZUPVMHEZMX-UHFFFAOYSA-N
物理化学性质
密度 1.048g/cm3 (计算值)
沸点 849.704°C at 760 mmHg (计算值)
闪点 467.684°C (计算值)
市场分析报告
请浏览[1-(羟基-(3-膦酰氧基丙氧基)磷酰)氧基-3-(3,7,11,15-四甲基棕榈酰氧基)丙-2-基]3,7,11,15-四甲基十六烷酸酯市场分析报告总目录
相关产品
(2S)-2-氨基-5-[[(2R)-2-氨基-3...  1,3-二(2-甲氧基苯基)脲  [4-(2-氨基-1-甲基咪唑并[5,4-e]吡啶...  4-(2-氯乙基-(2-甲基磺酰基氧乙基)氨基)苯...  2-[[2-氟-6-甲氧基-5-(三氟甲基)萘-1...  1-氨基-4-[(4-丁基苯基)氨基]-9,10-...  酸性黄118  (2S)-2-[[4-(6-氨基-3-氧代-1,2...  6-十八烷基二硫基-7H-嘌呤  砷化锗  2-氨基-3-甲基吡啶并[2,3-g]苯并咪唑-5...  2-氨基-3-甲基咪唑并-(4,5-f)喹啉N-葡...  2-氨基-3-甲基咪唑并(4,5-f)-喹啉5-硫...  3-苯基丙基乙酸酯  吲哚-3-羧基酸9-甲基-3-氧杂-9-氮杂三环(...