Online Database of Chemicals from Around the World

三乙酰基蒽环抗生素A
[CAS# 124425-50-9]

供应商
CAS#: 124425-50-9
产品: 三乙酰基蒽环抗生素A
暂时没有厂家供应该产品。
基本信息
产品名称 三乙酰基蒽环抗生素A
英文名 Triacetyldynemicin A
别名 4A,14A-Epoxy-4,14-(3)Hexene(1,5)Diynonaphtho(2,3-C)Phenanthridine-2-Carboxylic Acid, 6,8,11-Tris(Acetyloxy)-1,4,7,12,13,14-Hexahydro-3-Methoxy-1-Methyl-7,12-Dioxo-, (1S-(1R*,4S*,4As*,14R*,14Ar*))-; Triacetyldynemicin A
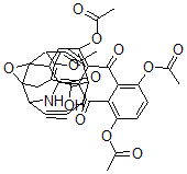
分子结构 CAS 登录号:124425-50-9, 三乙酰基蒽环抗生素A
分子式 C35H25NO12
分子量 651.58
CAS 登录号 124425-50-9
分子行输入简码 SMILES C4#CCCC#CC2NC1=C7C(=C(OC(=O)C)C=C1C35OC23CC(=C(OC)C45)C(=O)O)C(=O)C6=C(OC(=O)C)C=CC(=C6C7=O)OC(=O)C
国际化学标识码 InChI 1S/C35H25NO12/c1-15(37)45-21-11-12-22(46-16(2)38)26-25(21)30(40)27-23(47-17(3)39)13-20-29(28(27)31(26)41)36-24-10-8-6-5-7-9-19-32(44-4)18(33(42)43)14-34(24)35(19,20)48-34/h11-13,19,24,36H,5-6,14H2,1-4H3,(H,42,43)
国际化学标识检索码 InChIKey HNSQYWDWGNAIDS-UHFFFAOYSA-N
市场分析报告
请浏览三乙酰基蒽环抗生素A市场分析报告总目录
相关产品
8-氟-4-[2-(4-苯基苯基)乙氧基]喹唑啉  二(3-(5-氯亚水杨基氨基)丙醇)锰(IV)  2-[5-[[1-(羧甲基)-3-甲基-2,4,6...  1-[2-(4-叠氮基-3-碘苯基)乙基]-4-[...  1-(2-氯-6-甲基苯基)-3-(吡啶-4-基甲...  (7R,8S,9S,10S)-7,8,9-三羟基-...  吡啶-3-基-[4-[3-(三氟甲基)苯基]哌嗪-...  [4-(2-氟苯基)哌嗪-1-基]-吡啶-3-基甲...  (2E)-5-(4-溴苯基)-2-[(2,4-二氧...  丝光沸石  2-[2-[4-[(4-氯苯基)苯基甲基]哌嗪-1...  2-氨基-5-氧代-1-苯基-4H-吡咯-3-甲腈  2-氨基-1-(4-甲氧基苯基)-5-氧代-4H-...  2-氨基-1-(4-氯苯基)-5-氧代-4H-吡咯...  4,6-二氨基-2-氧代-1-苯基-3H-吡咯并[...