Online Database of Chemicals from Around the World

3,4,5-三羟基-6-[[3,4,5-三羟基-6-[5-羟基-2-甲氧基-6-甲基-4-[3,4,5-三羟基-6-(羟基甲基)四氢吡喃-2-基]氧基四氢吡喃-3-基]氧基四氢吡喃-2-基]甲氧基]四氢吡喃-2-羧酸
[CAS# 128643-92-5]

供应商
CAS#: 128643-92-5
产品: 3,4,5-三羟基-6-[[3,4,5-三羟基-6-[5-羟基-2-甲氧基-6-甲基-4-[3,4,5-三羟基-6-(羟基甲基)四氢吡喃-2-基]氧基四氢吡喃-3-基]氧基四氢吡喃-2-基]甲氧基]四氢吡喃-2-羧酸
暂时没有厂家供应该产品。
基本信息
产品名称 3,4,5-三羟基-6-[[3,4,5-三羟基-6-[5-羟基-2-甲氧基-6-甲基-4-[3,4,5-三羟基-6-(羟基甲基)四氢吡喃-2-基]氧基四氢吡喃-3-基]氧基四氢吡喃-2-基]甲氧基]四氢吡喃-2-羧酸
英文名 3,4,5-Trihydroxy-6-[[3,4,5-Trihydroxy-6-[5-Hydroxy-2-Methoxy-6-Methyl-4-[3,4,5-Trihydroxy-6-(Hydroxymethyl)Oxan-2-Yl]Oxyoxan-3-Yl]Oxyoxan-2-Yl]Methoxy]Oxane-2-Carboxylic Acid
别名 3,4,5-Trihydroxy-6-[[3,4,5-Trihydroxy-6-[5-Hydroxy-2-Methoxy-6-Methyl-4-[3,4,5-Trihydroxy-6-(Hydroxymethyl)Tetrahydropyran-2-Yl]Oxy-Tetrahydropyran-3-Yl]Oxy-Tetrahydropyran-2-Yl]Methoxy]Tetrahydropyran-2-Carboxylic Acid; 3,4,5-Trihydroxy-6-[[3,4,5-Trihydroxy-6-[[5-Hydroxy-2-Methoxy-6-Methyl-4-[[3,4,5-Trihydroxy-6-(Hydroxymethyl)-2-Tetrahydropyranyl]Oxy]-3-Tetrahydropyranyl]Oxy]-2-Tetrahydropyranyl]Methoxy]-2-Tetrahydropyrancarboxylic Acid; 3,4,5-Trihydroxy-6-[[3,4,5-Trihydroxy-6-[5-Hydroxy-2-Methoxy-6-Methyl-4-(3,4,5-Trihydroxy-6-Methylol-Tetrahydropyran-2-Yl)Oxy-Tetrahydropyran-3-Yl]Oxy-Tetrahydropyran-2-Yl]Methoxy]Tetrahydropyran-2-Carboxylic Acid
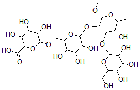
分子结构 CAS 登录号:128643-92-5, 3,4,5-三羟基-6-[[3,4,5-三羟基-6-[5-羟基-2-甲氧基-6-甲基-4-[3,4,5-三羟基-6-(羟基甲基)四氢吡喃-2-基]氧基四氢吡喃-3-基]氧基四氢吡喃-2-基]甲氧基]四氢吡喃-2-羧酸
分子式 C25H42O21
分子量 678.59
CAS 登录号 128643-92-5
分子行输入简码 SMILES C(C4C(C(C(C(OC1C(C(OC(C1OC2C(C(C(C(O2)COC3C(C(C(C(O3)C(O)=O)O)O)O)O)O)O)OC)C)O)O4)O)O)O)O
国际化学标识码 InChI 1S/C25H42O21/c1-5-8(27)18(44-23-16(35)11(30)9(28)6(3-26)42-23)20(25(39-2)41-5)46-24-17(36)12(31)10(29)7(43-24)4-40-22-15(34)13(32)14(33)19(45-22)21(37)38/h5-20,22-36H,3-4H2,1-2H3,(H,37,38)
国际化学标识检索码 InChIKey JLGBHQRXLBYEBD-UHFFFAOYSA-N
物理化学性质
密度 1.753g/cm3 (计算值)
沸点 1000.076°C at 760 mmHg (计算值)
闪点 323.387°C (计算值)
市场分析报告
请浏览3,4,5-三羟基-6-[[3,4,5-三羟基-6-[5-羟基-2-甲氧基-6-甲基-4-[3,4,5-三羟基-6-(羟基甲基)四氢吡喃-2-基]氧基四氢吡喃-3-基]氧基四氢吡喃-2-基]甲氧基]四氢吡喃-2-羧酸市场分析报告总目录
相关产品
异苯并吡喃并[3,4-g][1,4]苯并二氧杂环己...  [1-(2-甲氧基苯氧基)-3-(甲基氨基磺酰基氧...  6-[3-[(3,4-二甲氧基苯基)甲基氨基]-2...  (2S,4S,5R,6R)-5-乙酰氨基-4-羟基...  (3Z)-3-(2,3-二羟基-4-甲基-6-氧代...  [(3aR,4S,6R,10S,11S,11aS)...  [(3aS,4S,6R,10S,11aR)-6-乙...  1,6-二硝基苯并[b]芘  3,6-二硝基苯并[a]芘  4-甲氧基苄基2,4-二-O-苄基-3-O-(2,...  2-(7-甲氧基-1H-吲哚-3-基)-2,2-二...  (1R,4aS,6S,8aS)-6,8alpha-...  (8beta)-8-(乙酰氧基)-O9-苯甲酰基-...  2-(4-氰基苯基)色满-6-甲腈  1,3-二氯-5-(3,4-二氯苯基)-2-甲基磺...