Online Database of Chemicals from Around the World

(6E,10Z)-3-[(2R,3S,4S,5S,6R)-4-氨基-3,5-二羟基-6-甲基四氢吡喃-2-基]氧基-15-丁烷-2-基-19,25,27,29-四羟基-17,21-二氧代-16,31-二氧杂双环[25.3.1]三十一碳-4,6,8,10,12-五烯-30-羧酸
[CAS# 128808-63-9]

供应商
CAS#: 128808-63-9
产品: (6E,10Z)-3-[(2R,3S,4S,5S,6R)-4-氨基-3,5-二羟基-6-甲基四氢吡喃-2-基]氧基-15-丁烷-2-基-19,25,27,29-四羟基-17,21-二氧代-16,31-二氧杂双环[25.3.1]三十一碳-4,6,8,10,12-五烯-30-羧酸
暂时没有厂家供应该产品。
基本信息
产品名称 (6E,10Z)-3-[(2R,3S,4S,5S,6R)-4-氨基-3,5-二羟基-6-甲基四氢吡喃-2-基]氧基-15-丁烷-2-基-19,25,27,29-四羟基-17,21-二氧代-16,31-二氧杂双环[25.3.1]三十一碳-4,6,8,10,12-五烯-30-羧酸
英文名 (6E,10Z)-3-[(2R,3S,4S,5S,6R)-4-Amino-3,5-Dihydroxy-6-Methyloxan-2-Yl]Oxy-15-Butan-2-Yl-19,25,27,29-Tetrahydroxy-17,21-Dioxo-16,31-Dioxabicyclo[25.3.1]Hentriaconta-4,6,8,10,12-Pentaene-30-Carboxylic Acid
别名 (6Z,10Z)-3-[(2R,3S,4S,5S,6R)-4-Amino-3,5-Dihydroxy-6-Methyloxan-2-Yl]Oxy-15-Butan-2-Yl-19,25,27,29-Tetrahydroxy-17,21-Dioxo-16,31-Dioxabicyclo[25.3.1]Hentriaconta-4,6,8,10,12-Pentaene-30-Carboxylic Acid; (6E,10Z)-3-[(2R,3S,4S,5S,6R)-4-Amino-3,5-Dihydroxy-6-Methyl-Tetrahydropyran-2-Yl]Oxy-19,25,27,29-Tetrahydroxy-17,21-Dioxo-15-Sec-Butyl-16,31-Dioxabicyclo[25.3.1]Hentriaconta-4,6,8,10,12-Pentaene-30-Carboxylic Acid; (6Z,10Z)-3-[(2R,3S,4S,5S,6R)-4-Amino-3,5-Dihydroxy-6-Methyl-Tetrahydropyran-2-Yl]Oxy-19,25,27,29-Tetrahydroxy-17,21-Dioxo-15-Sec-Butyl-16,31-Dioxabicyclo[25.3.1]Hentriaconta-4,6,8,10,12-Pentaene-30-Carboxylic Acid
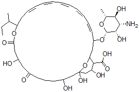
分子结构 CAS 登录号:128808-63-9, (6E,10Z)-3-[(2R,3S,4S,5S,6R)-4-氨基-3,5-二羟基-6-甲基四氢吡喃-2-基]氧基-15-丁烷-2-基-19,25,27,29-四羟基-17,21-二氧代-16,31-二氧杂双环[25.3.1]三十一碳-4,6,8,10,12-五烯-30-羧酸
分子式 C40H61NO14
分子量 779.92
CAS 登录号 128808-63-9
分子行输入简码 SMILES [C@@H]3(OC\2CC1OC(O)(CC(O)C1C(=O)O)CC(O)CCCC(=O)CC(O)CC(OC(C(CC)C)C\C=C/C=C\C=C/C=C\C=C2)=O)O[C@@H]([C@@H](O)[C@H](N)[C@@H]3O)C
国际化学标识码 InChI 1S/C40H61NO14/c1-4-24(2)31-18-13-11-9-7-5-6-8-10-12-17-29(53-39-37(48)35(41)36(47)25(3)52-39)21-32-34(38(49)50)30(45)23-40(51,55-32)22-27(43)16-14-15-26(42)19-28(44)20-33(46)54-31/h5-13,17,24-25,27-32,34-37,39,43-45,47-48,51H,4,14-16,18-23,41H2,1-3H3,(H,49,50)/b6-5-,9-7-,10-8-,13-11-,17-12-/t24?,25-,27?,28?,29?,30?,31?,32?,34?,35+,36-,37+,39+,40?/m1/s1
国际化学标识检索码 InChIKey QHYNZYOPJOICJB-KKWKNEDVSA-N
市场分析报告
请浏览(6E,10Z)-3-[(2R,3S,4S,5S,6R)-4-氨基-3,5-二羟基-6-甲基四氢吡喃-2-基]氧基-15-丁烷-2-基-19,25,27,29-四羟基-17,21-二氧代-16,31-二氧杂双环[25.3.1]三十一碳-4,6,8,10,12-五烯-30-羧酸市场分析报告总目录
相关产品
(2S)-2-氨基-3-(2,6-二氟-3,4-二...  4,11-二氨基萘并[3,2-f]异吲哚-1,3,...  2-[[(2S)-1-(二(羧甲基)氨基)-3-[...  1-[4-(2-氯苯基)-6,7-二甲基喹啉-3-...  (SP-4-2-(2S-反式))-(18-羧基-2...  1-氨基-2-溴-4-[(4-甲基苯基)氨基]蒽-...  N-[2-[4-(环己基氨基甲酰氨基磺酰基)苯基]...  2-[4-[[(2S)-2-[[4-(氨基甲基)环...  N-(3-氟丙基)-N-去甲丁丙诺啡  (4-叔丁基-2-羟基环己基)2-甲基丙-2-烯酸...  4-(苯甲酰基)-1-甲基吡咯-2-甲醛  1,4-二氨基-2,3-二羟基蒽-9,10-二酮  (3S,5S,8aR)-3-丁基-5-戊-4-烯基...  (8S,13S,14S,17S)-17-[(2R)...  3-(4-羟基苯基)-5-甲氧基-7-[(2S,3...