基本信息
| 产品名称 |
二氰基-钴(III)-四(4-磺酸苯基)卟啉 |
| 英文名 |
Dicyano-cobalt(III)-tetrakis(4-sulfonatophenyl)porphyrin |
| 别名 |
Dicyano-Cobalt(Iii)-Tetrakis(4-Sulfonatophenyl)Porphyrin; (Oc-6-12)-Bis(Cyano-C)((4,4',4'',4'''-(21H,23H-Prophine-5,10,15,20-Tetrayl)Tetrakis(Benzenesulfonato))(6-)-N21,N22,N23,N24)Cobaltate(5-) Tetrahydrogen; Cn2-Co(Iii)-Tpps |
|
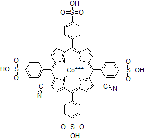
| 分子结构 |
 |
| 分子式 |
C46H28CoN6O12S4 |
| 分子量 |
1043.93 |
| CAS 登录号 |
129232-35-5 |
| 分子行输入简码 SMILES |
[Co+3].[N-]1C2=CC=C1C(=C8N=C(C(=C6N=C(C(=C4[N-]C(=C2C3=CC=C([S]([O-])(=O)=O)C=C3)C=C4)C5=CC=C([S]([O-])(=O)=O)C=C5)C=C6)C7=CC=C([S]([O-])(=O)=O)C=C7)C=C8)C9=CC=C([S]([O-])(=O)=O)C=C9.[H+].[H+].[H+].[H+].N#[C-].[C-]#N |
| 国际化学标识码 InChI |
1S/C44H28N4O12S4.2CN.Co/c49-61(50,51)29-9-1-25(2-10-29)41-33-17-19-35(45-33)42(26-3-11-30(12-4-26)62(52,53)54)37-21-23-39(47-37)44(28-7-15-32(16-8-28)64(58,59)60)40-24-22-38(48-40)43(36-20-18-34(41)46-36)27-5-13-31(14-6-27)63(55,56)57;2*1-2;/h1-24H,(H,49,50,51)(H,52,53,54)(H,55,56,57)(H,58,59,60);;;/q-2;2*-1;+3 |
| 国际化学标识检索码 InChIKey |
UCSJITYNJWWLCX-UHFFFAOYSA-N |
|