Online Database of Chemicals from Around the World

L-丝氨酰-L-异亮氨酰-L-谷氨酰胺酰-L-alpha-天冬氨酰-L-亮氨酰-L-精氨酰-L-精氨酰-L-苯丙氨酰-L-苯丙氨酰-L-亮氨酰-L-组氨酰-L-组氨酰-L-亮氨酰-L-异亮氨酰-L-丙氨酰-L-alpha-谷氨酰-L-异亮氨酰-L-组氨酰-L-苏氨酰-L-丙氨酰胺
[CAS# 129476-28-4]

供应商
CAS#: 129476-28-4
产品: L-丝氨酰-L-异亮氨酰-L-谷氨酰胺酰-L-alpha-天冬氨酰-L-亮氨酰-L-精氨酰-L-精氨酰-L-苯丙氨酰-L-苯丙氨酰-L-亮氨酰-L-组氨酰-L-组氨酰-L-亮氨酰-L-异亮氨酰-L-丙氨酰-L-alpha-谷氨酰-L-异亮氨酰-L-组氨酰-L-苏氨酰-L-丙氨酰胺
暂时没有厂家供应该产品。
基本信息
产品名称 L-丝氨酰-L-异亮氨酰-L-谷氨酰胺酰-L-alpha-天冬氨酰-L-亮氨酰-L-精氨酰-L-精氨酰-L-苯丙氨酰-L-苯丙氨酰-L-亮氨酰-L-组氨酰-L-组氨酰-L-亮氨酰-L-异亮氨酰-L-丙氨酰-L-alpha-谷氨酰-L-异亮氨酰-L-组氨酰-L-苏氨酰-L-丙氨酰胺
英文名 L-Seryl-L-Isoleucyl-L-Glutaminyl-L-alpha-Aspartyl-L-Leucyl-L-Arginyl-L-Arginyl-L-Phenylalanyl-L-Phenylalanyl-L-Leucyl-L-Histidyl-L-Histidyl-L-Leucyl-L-Isoleucyl-L-Alanyl-L-alpha-Glutamyl-L-Isoleucyl-L-Histidyl-L-Threonyl-L-Alaninamide
别名 L-Seryl-L-Isoleucyl-L-Glutaminyl-L-Alpha-Aspartyl-L-Leucyl-L-Arginyl-L-Arginyl-L-Phenylalanyl-L-Phenylalanyl-L-Leucyl-L-Histidyl-L-Histidyl-L-Leucyl-L-Isoleucyl-L-Alanyl-L-Alpha-Glutamyl-L-Isoleucyl-L-Histidyl-L-Threonyl-L-Alaninamide; Parathyroid Hormone-Related Protein(14-34) Amide; Pthrp (14-34) Nh2
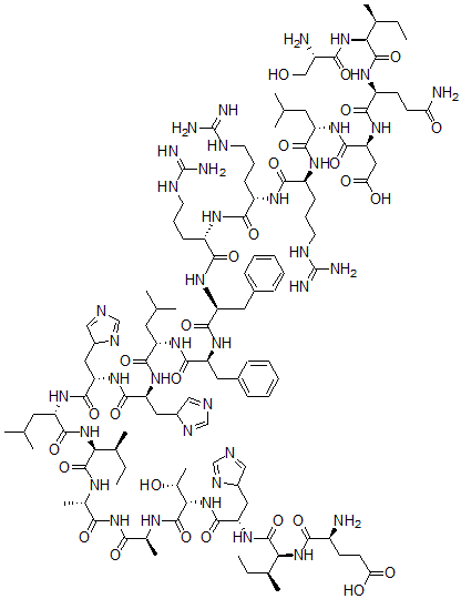
分子结构 CAS 登录号:129476-28-4, L-丝氨酰-L-异亮氨酰-L-谷氨酰胺酰-L-alpha-天冬氨酰-L-亮氨酰-L-精氨酰-L-精氨酰-L-苯丙氨酰-L-苯丙氨酰-L-亮氨酰-L-组氨酰-L-组氨酰-L-亮氨酰-L-异亮氨酰-L-丙氨酰-L-alpha-谷氨酰-L-异亮氨酰-L-组氨酰-L-苏氨酰-L-丙氨酰胺
分子式 C117H186N38O28
分子量 2572.99
CAS 登录号 129476-28-4
分子行输入简码 SMILES [C@H](C(=O)NC([C@@H](NC([C@@H](NC([C@@H](NC([C@@H](NC([C@@H](NC([C@@H](NC([C@@H](NC([C@@H](NC([C@@H](NC([C@@H](NC([C@@H](NC([C@@H](NC([C@@H](NC([C@@H](NC([C@@H](NC([C@@H](N)CO)=O)[C@H](CC)C)=O)CCC(=O)N)=O)CC(=O)O)=O)CC(C)C)=O)CCCNC(=N)N)=O)CCCNC(=N)N)=O)CCCNC(=N)N)=O)CC1=CC=CC=C1)=O)CC2=CC=CC=C2)=O)CC(C)C)=O)CC3C=NC=N3)=O)CC4C=NC=N4)=O)CC(C)C)=O)[C@H](CC)C)=O)C)=O)(NC([C@@H](NC([C@@H](NC([C@@H](NC([C@@H](N)CCC(=O)O)=O)[C@H](CC)C)=O)CC5C=NC=N5)=O)[C@@H](C)O)=O)C
国际化学标识码 InChI 1S/C117H186N38O28/c1-16-61(10)90(111(180)136-64(13)94(163)155-95(164)65(14)137-114(183)93(66(15)157)154-110(179)85(49-71-53-129-57-135-71)150-113(182)92(63(12)18-3)151-96(165)72(118)35-38-88(159)160)153-109(178)80(44-60(8)9)144-106(175)83(47-69-51-127-55-133-69)148-107(176)84(48-70-52-128-56-134-70)147-103(172)79(43-59(6)7)142-104(173)82(46-68-30-23-20-24-31-68)146-105(174)81(45-67-28-21-19-22-29-67)145-100(169)76(34-27-41-132-117(125)126)139-98(167)74(32-25-39-130-115(121)122)138-99(168)75(33-26-40-131-116(123)124)140-102(171)78(42-58(4)5)143-108(177)86(50-89(161)162)149-101(170)77(36-37-87(120)158)141-112(181)91(62(11)17-2)152-97(166)73(119)54-156/h19-24,28-31,51-53,55-66,69-86,90-93,156-157H,16-18,25-27,32-50,54,118-119H2,1-15H3,(H2,120,158)(H,136,180)(H,137,183)(H,138,168)(H,139,167)(H,140,171)(H,141,181)(H,142,173)(H,143,177)(H,144,175)(H,145,169)(H,146,174)(H,147,172)(H,148,176)(H,149,170)(H,150,182)(H,151,165)(H,152,166)(H,153,178)(H,154,179)(H,159,160)(H,161,162)(H4,121,122,130)(H4,123,124,131)(H4,125,126,132)(H,155,163,164)/t61-,62-,63-,64-,65-,66+,69?,70?,71?,72-,73-,74-,75-,76-,77-,78-,79-,80-,81-,82-,83-,84-,85-,86-,90-,91-,92-,93-/m0/s1
国际化学标识检索码 InChIKey NKJDEYWVOQMEGR-IFRDOXJBSA-N
市场分析报告
请浏览L-丝氨酰-L-异亮氨酰-L-谷氨酰胺酰-L-alpha-天冬氨酰-L-亮氨酰-L-精氨酰-L-精氨酰-L-苯丙氨酰-L-苯丙氨酰-L-亮氨酰-L-组氨酰-L-组氨酰-L-亮氨酰-L-异亮氨酰-L-丙氨酰-L-alpha-谷氨酰-L-异亮氨酰-L-组氨酰-L-苏氨酰-L-丙氨酰胺市场分析报告总目录
相关产品
1-(4-乙氧基苯基)丙-2-胺  (4R,5R,6S,7R)-7-(2-氨基乙氧基-...  1,4-二(3,4,5-三甲氧基苯甲酰基)哌嗪-2...  N-(2-氯苯基)-1,4-二(3,4,5-三甲氧...  N-己基-1,4-二(3,4,5-三甲氧基苯甲酰基...  N-(苯基甲基)-1,4-二(3,4,5-三甲氧基...  10-[丁基-(甲基-丙基氨基)氨基]十六碳-7-...  4-(2-甲氧基苯基)-2-[(5-甲基-1H-咪...  4-氧代-4-[(5-氨基磺酰基-1,3,4-噻二...  DL-精氨酸丁二酸盐 (2:1) 四水合物  [1-[2-[(2,4-二硝基苯基)氨基]乙氧基-...  4-氨基-5-氟-1-[(2R,4S,5R)-4-...  (2S)-2-[[(2S)-5-(二氨基亚甲基氨基...  (5-溴-4-氯-1H-吲哚-3-基)丁酸酯  2''-(腺苷-5'-硫代磷酰)妥布霉素