Online Database of Chemicals from Around the World

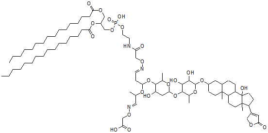
地高辛-磷脂酰乙醇胺共轭的
[CAS# 129966-52-5]

供应商
CAS#: 129966-52-5
产品: 地高辛-磷脂酰乙醇胺共轭的
暂时没有厂家供应该产品。
基本信息
产品名称 地高辛-磷脂酰乙醇胺共轭的
英文名 Digoxin-phosphatidylethanolamine conjugate
别名 2-[2-[(3E)-3-[2-[2-[2,3-Di(Hexadecanoyloxy)Propoxy-Hydroxy-Phosphoryl]Oxyethylamino]-2-Oxo-Ethoxy]Imino-1-[6-[4,5-Dihydroxy-6-[[14-Hydroxy-10,13-Dimethyl-17-(5-Oxo-2H-Furan-3-Yl)-1,2,3,4,5,6,7,8,9,11,12,15,16,17-Tetradecahydrocyclopenta[A]Phenanthren-3-Yl]Oxy]-2-Methyl-Tetrahydropyran-3-Yl]Oxy-4-Hydroxy-2-Methyl-Tetrahydropyran-3-Yl]Oxy-Propoxy]Propylideneamino]Oxyacetic Acid; 2-[2-[(3E)-3-[2-[2-[2,3-Bis(1-Oxohexadecoxy)Propoxy-Hydroxyphosphoryl]Oxyethylamino]-2-Oxoethoxy]Imino-1-[[6-[[4,5-Dihydroxy-6-[[14-Hydroxy-10,13-Dimethyl-17-(5-Oxo-2H-Furan-3-Yl)-1,2,3,4,5,6,7,8,9,11,12,15,16,17-Tetradecahydrocyclopenta[A]Phenanthren-3-Yl]Oxy]-2-Methyl-3-Tetrahydropyranyl]Oxy]-4-Hydroxy-2-Methyl-3-Tetrahydropyranyl]Oxy]Propoxy]Propylideneamino]Oxyacetic Acid; 2-[2-[(3E)-3-[2-[2-[2,3-Di(Hexadecanoyloxy)Propoxy-Hydroxy-Phosphoryl]Oxyethylamino]-2-Keto-Ethoxy]Imino-1-[6-[4,5-Dihydroxy-6-[[14-Hydroxy-17-(5-Keto-2H-Furan-3-Yl)-10,13-Dimethyl-1,2,3,4,5,6,7,8,9,11,12,15,16,17-Tetradecahydrocyclopenta[A]Phenanthren-3-Yl]Oxy]-2-Methyl-Tetrahydropyran-3-Yl]Oxy-4-Hydroxy-2-Methyl-Tetrahydropyran-3-Yl]Oxy-Propoxy]Propylideneamino]Oxyacetic Acid
分子结构 CAS 登录号:129966-52-5, 地高辛-磷脂酰乙醇胺共轭的
分子式 C82H140N3O25P
分子量 1598.99
CAS 登录号 129966-52-5
分子行输入简码 SMILES C(C(OC7C(OC(OC6C(O)C(O)C(OC5CC4C(C3C(C1(O)C(C(CC1)C2=CC(OC2)=O)(CC3)C)CC4)(CC5)C)OC6C)CC7O)C)OC(/C=N/OCC(=O)O)C)/C=N/OCC(=O)NCCO[P](OCC(OC(=O)CCCCCCCCCCCCCCC)COC(=O)CCCCCCCCCCCCCCC)(=O)O
国际化学标识码 InChI 1S/C82H140N3O25P/c1-8-10-12-14-16-18-20-22-24-26-28-30-32-34-70(90)99-53-63(107-71(91)35-33-31-29-27-25-23-21-19-17-15-13-11-9-2)54-103-111(96,97)102-47-46-83-68(87)55-100-84-45-41-73(104-57(3)51-85-101-56-69(88)89)109-77-58(4)105-74(50-67(77)86)110-78-59(5)106-79(76(94)75(78)93)108-62-38-42-80(6)61(49-62)36-37-66-65(80)39-43-81(7)64(40-44-82(66,81)95)60-48-72(92)98-52-60/h45,48,51,57-59,61-67,73-79,86,93-95H,8-44,46-47,49-50,52-56H2,1-7H3,(H,83,87)(H,88,89)(H,96,97)/b84-45+,85-51+
国际化学标识检索码 InChIKey RMZOQEGPACTFRL-QLBADTJSSA-N
物理化学性质
密度 1.288g/cm3 (计算值)
市场分析报告
请浏览地高辛-磷脂酰乙醇胺共轭的市场分析报告总目录
相关产品
(2R,3R,4S,5R)-2-[2-氨基-6-[...  2-[[1-[[(2S)-1-羟基-3-(1H-吲...  (3R)-3-[[(2S)-6-氨基-2-甲烷磺酰...  2-氨基-9-[[(2S)-2-(羟基甲基)环己基...  三乙基铵1,2-二-O-十六烷基-甘油-3-H-膦...  (8S-(8alpha,9alpha,14alph...  (2S)-2-[[(2S)-1-(2-甲氧基-2-...  氯孕酮乙酸酯-3-O-alpha-阿拉伯呋喃糖苷  [(2R,3S,4R,5R)-5-(2-氨基-6-...  美拉鲁利钠  2-哌啶-4-基乙基硝酸酯  4-[[4-[(3,6-二磺酸基-1-萘基)偶氮]...  6-氨基-5,8-二甲基-9H-咔唑-3-醇  [5-[4-[(1-甲基4h-吡啶-3-羰基)氨基...  N2-(N-(N2-(N-(N-(N2-(1-L-...