Online Database of Chemicals from Around the World

N-[(2S,3R,4R,5S,6R)-4-[(2R,3R,4S,5R,6R)-4,5-二羟基-6-(羟基甲基)-3-甲氧基四氢吡喃-2-基]氧基-5-羟基-6-(羟基甲基)-2-[(2S,3R,4S,5R,6R)-3,4,5-三羟基-6-(羟基甲基)-2-甲基四氢吡喃-2-基]氧基四氢吡喃-3-基]乙酰胺
[CAS# 130648-54-3]

供应商
CAS#: 130648-54-3
产品: N-[(2S,3R,4R,5S,6R)-4-[(2R,3R,4S,5R,6R)-4,5-二羟基-6-(羟基甲基)-3-甲氧基四氢吡喃-2-基]氧基-5-羟基-6-(羟基甲基)-2-[(2S,3R,4S,5R,6R)-3,4,5-三羟基-6-(羟基甲基)-2-甲基四氢吡喃-2-基]氧基四氢吡喃-3-基]乙酰胺
暂时没有厂家供应该产品。
基本信息
产品名称 N-[(2S,3R,4R,5S,6R)-4-[(2R,3R,4S,5R,6R)-4,5-二羟基-6-(羟基甲基)-3-甲氧基四氢吡喃-2-基]氧基-5-羟基-6-(羟基甲基)-2-[(2S,3R,4S,5R,6R)-3,4,5-三羟基-6-(羟基甲基)-2-甲基四氢吡喃-2-基]氧基四氢吡喃-3-基]乙酰胺
英文名 N-[(2S,3R,4R,5S,6R)-4-[(2R,3R,4S,5R,6R)-4,5-Dihydroxy-6-(Hydroxymethyl)-3-Methoxyoxan-2-Yl]Oxy-5-Hydroxy-6-(Hydroxymethyl)-2-[(2S,3R,4S,5R,6R)-3,4,5-Trihydroxy-6-(Hydroxymethyl)-2-Methyloxan-2-Yl]Oxyoxan-3-Yl]Acetamide
别名 N-[(2S,3R,4R,5S,6R)-4-[(2R,3R,4S,5R,6R)-4,5-Dihydroxy-6-(Hydroxymethyl)-3-Methoxy-Tetrahydropyran-2-Yl]Oxy-5-Hydroxy-6-(Hydroxymethyl)-2-[(2S,3R,4S,5R,6R)-3,4,5-Trihydroxy-6-(Hydroxymethyl)-2-Methyl-Tetrahydropyran-2-Yl]Oxy-Tetrahydropyran-3-Yl]Acetamide; N-[(2S,3R,4R,5S,6R)-4-[[(2R,3R,4S,5R,6R)-4,5-Dihydroxy-6-(Hydroxymethyl)-3-Methoxy-2-Tetrahydropyranyl]Oxy]-5-Hydroxy-6-(Hydroxymethyl)-2-[[(2S,3R,4S,5R,6R)-3,4,5-Trihydroxy-6-(Hydroxymethyl)-2-Methyl-2-Tetrahydropyranyl]Oxy]-3-Tetrahydropyranyl]Acetamide; N-[(2S,3R,4R,5S,6R)-4-[(2R,3R,4S,5R,6R)-4,5-Dihydroxy-3-Methoxy-6-Methylol-Tetrahydropyran-2-Yl]Oxy-5-Hydroxy-6-Methylol-2-[(2S,3R,4S,5R,6R)-3,4,5-Trihydroxy-2-Methyl-6-Methylol-Tetrahydropyran-2-Yl]Oxy-Tetrahydropyran-3-Yl]Acetamide
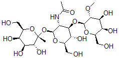
分子结构 CAS 登录号:130648-54-3, N-[(2S,3R,4R,5S,6R)-4-[(2R,3R,4S,5R,6R)-4,5-二羟基-6-(羟基甲基)-3-甲氧基四氢吡喃-2-基]氧基-5-羟基-6-(羟基甲基)-2-[(2S,3R,4S,5R,6R)-3,4,5-三羟基-6-(羟基甲基)-2-甲基四氢吡喃-2-基]氧基四氢吡喃-3-基]乙酰胺
分子式 C22H39NO16
分子量 573.55
CAS 登录号 130648-54-3
分子行输入简码 SMILES [C@@]3(O[C@H]2[C@@H]([C@@H](O[C@H]1[C@H](OC)[C@@H](O)[C@@H](O)[C@H](O1)CO)[C@H](O)[C@H](O2)CO)NC(=O)C)([C@H](O)[C@@H](O)[C@@H](O)[C@H](O3)CO)C
国际化学标识码 InChI 1S/C22H39NO16/c1-7(27)23-11-17(37-21-18(34-3)15(31)12(28)8(4-24)36-21)14(30)9(5-25)35-20(11)39-22(2)19(33)16(32)13(29)10(6-26)38-22/h8-21,24-26,28-33H,4-6H2,1-3H3,(H,23,27)/t8-,9-,10-,11-,12+,13+,14-,15+,16+,17-,18-,19-,20+,21+,22+/m1/s1
国际化学标识检索码 InChIKey CYGRWYYLBVCKBG-YNZJLEQLSA-N
物理化学性质
密度 1.6g/cm3 (计算值)
沸点 912.645°C at 760 mmHg (计算值)
闪点 505.75°C (计算值)
市场分析报告
请浏览N-[(2S,3R,4R,5S,6R)-4-[(2R,3R,4S,5R,6R)-4,5-二羟基-6-(羟基甲基)-3-甲氧基四氢吡喃-2-基]氧基-5-羟基-6-(羟基甲基)-2-[(2S,3R,4S,5R,6R)-3,4,5-三羟基-6-(羟基甲基)-2-甲基四氢吡喃-2-基]氧基四氢吡喃-3-基]乙酰胺市场分析报告总目录
相关产品
2,7-二甲基四氢萘  2,3-Dihydroxyetiochlorin  1-[10-(3-二甲基氨基丙基)-10H-吩噻嗪...  2-氨基-N-苯基甲苯-4-磺酰胺  2-[(E)-2-苯乙烯基]苯胺  2,6-二乙基吡嗪  2-[4-[4-[二(2-氯乙基)氨基]苯基]丁酰...  2-[4-[4-[二(2-氯乙基)氨基]苯基]丁酰...  3-氨基-5,6,7,8-四氢异喹啉-4-羧酸  (3E)-3-[(3,4-二甲氧基苯基)亚甲基]-...  (3Z)-3-[(4-苯基苯基)亚甲基]硫代色满-...  (3Z)-3-(1,3-苯并二氧戊环-5-基亚甲基...  2,6-二氯-4-(3,4,5-三氯苯基)苯酚  (1S,2R)-N-[2-(3,4-二氯苯基)乙基...  (3S)-4-甲氧基-3-(萘-1-基甲基)-4-...