Online Database of Chemicals from Around the World

(14Z,21E,23E,25E,27E,29E,31E,33E)-20-(4-氨基-3,5-二羟基-6-甲基四氢吡喃-2-基)氧基-4,6,9,10,12,16,18,36-八羟基-14-甲氧基亚胺-35,37,38-三甲基-2-氧代-1-氧杂环三十八碳-21,23,25,27,29,31,33-七烯-17-羧酸
[CAS# 132202-02-9]

供应商
CAS#: 132202-02-9
产品: (14Z,21E,23E,25E,27E,29E,31E,33E)-20-(4-氨基-3,5-二羟基-6-甲基四氢吡喃-2-基)氧基-4,6,9,10,12,16,18,36-八羟基-14-甲氧基亚胺-35,37,38-三甲基-2-氧代-1-氧杂环三十八碳-21,23,25,27,29,31,33-七烯-17-羧酸
暂时没有厂家供应该产品。
基本信息
产品名称 (14Z,21E,23E,25E,27E,29E,31E,33E)-20-(4-氨基-3,5-二羟基-6-甲基四氢吡喃-2-基)氧基-4,6,9,10,12,16,18,36-八羟基-14-甲氧基亚胺-35,37,38-三甲基-2-氧代-1-氧杂环三十八碳-21,23,25,27,29,31,33-七烯-17-羧酸
英文名 (14Z,21E,23E,25E,27E,29E,31E,33E)-20-(4-Amino-3,5-Dihydroxy-6-Methyloxan-2-Yl)Oxy-4,6,9,10,12,16,18,36-Octahydroxy-14-Methoxyimino-35,37,38-Trimethyl-2-Oxo-1-Oxacyclooctatriaconta-21,23,25,27,29,31,33-Heptaene-17-Carboxylic Acid
别名 (14Z,21E,23E,25E,27E,29E,31E,33E)-20-(4-Amino-3,5-Dihydroxy-6-Methyl-Tetrahydropyran-2-Yl)Oxy-4,6,9,10,12,16,18,36-Octahydroxy-14-Methoxyimino-35,37,38-Trimethyl-2-Oxo-1-Oxacyclooctatriaconta-21,23,25,27,29,31,33-Heptaene-17-Carboxylic Acid; (14Z,21E,23E,25E,27E,29E,31E,33E)-20-[(4-Amino-3,5-Dihydroxy-6-Methyl-2-Tetrahydropyranyl)Oxy]-4,6,9,10,12,16,18,36-Octahydroxy-14-Methoxyimino-35,37,38-Trimethyl-2-Oxo-1-Oxacyclooctatriaconta-21,23,25,27,29,31,33-Heptaene-17-Carboxylic Acid; (14Z,21E,23E,25E,27E,29E,31E,33E)-20-(4-Amino-3,5-Dihydroxy-6-Methyl-Tetrahydropyran-2-Yl)Oxy-4,6,9,10,12,16,18,36-Octahydroxy-2-Keto-14-Methoxyimino-35,37,38-Trimethyl-1-Oxacyclooctatriaconta-21,23,25,27,29,31,33-Heptaene-17-Carboxylic Acid
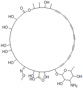
分子结构 CAS 登录号:132202-02-9, (14Z,21E,23E,25E,27E,29E,31E,33E)-20-(4-氨基-3,5-二羟基-6-甲基四氢吡喃-2-基)氧基-4,6,9,10,12,16,18,36-八羟基-14-甲氧基亚胺-35,37,38-三甲基-2-氧代-1-氧杂环三十八碳-21,23,25,27,29,31,33-七烯-17-羧酸
分子式 C48H76N2O17
分子量 953.13
CAS 登录号 132202-02-9
分子行输入简码 SMILES CC2OC(OC\1CC(O)C(C(O)C\C(=N/OC)CC(O)CC(O)C(O)CCC(O)CC(O)CC(OC(C(C(O)C(/C=C/C=C/C=C/C=C/C=C/C=C/C=C1)C)C)C)=O)C(=O)O)C(O)C(N)C2O
国际化学标识码 InChI 1S/C48H76N2O17/c1-28-18-16-14-12-10-8-6-7-9-11-13-15-17-19-36(67-48-46(61)43(49)45(60)31(4)66-48)27-40(57)42(47(62)63)39(56)23-32(50-64-5)22-34(52)25-38(55)37(54)21-20-33(51)24-35(53)26-41(58)65-30(3)29(2)44(28)59/h6-19,28-31,33-40,42-46,48,51-57,59-61H,20-27,49H2,1-5H3,(H,62,63)/b7-6+,10-8+,11-9+,14-12+,15-13+,18-16+,19-17+,50-32-
国际化学标识检索码 InChIKey WRIFSYOHYWWNKF-DICVFRNESA-N
市场分析报告
请浏览(14Z,21E,23E,25E,27E,29E,31E,33E)-20-(4-氨基-3,5-二羟基-6-甲基四氢吡喃-2-基)氧基-4,6,9,10,12,16,18,36-八羟基-14-甲氧基亚胺-35,37,38-三甲基-2-氧代-1-氧杂环三十八碳-21,23,25,27,29,31,33-七烯-17-羧酸市场分析报告总目录
相关产品
色胺酮  三(2-羟基乙基)巯基乙酸铵  (8alpha)-8-(乙酰氧基)-O1-苯甲酰基...  [[(2R,3S,4R,5R)-5-[6-[2-(...  二甲基-(4-三甲基铵基丁基)-(3-三甲基铵基丙...  8-氨基-1,3-二(环丙基甲基)-7H-嘌呤-2...  7-(二氨基亚甲基氨基)庚基(9S,10R)-7-...  曲布宗  乙基2-壬酸酯  1,1,2,3,3,4-六氟-2,4-二(三氟甲基...  2,4-二羟基苯甲酰肼  N,N'-己烷-1,6-二基二[2-乙基己酰胺]  N-甲基-N-(1-氧代十八烷基)-beta-丙氨...  1,1,1,5,5,5-六氟-2,4-二(三氟甲基...  甲基丙烯酰氧乙基二甲基乙基铵乙基硫酸酯盐