Online Database of Chemicals from Around the World

(2R,3R,4S,5S,6R)-2-[(Z)-己-3-烯氧基]-6-[[(2S,3R,4S,5R)-3,4,5-三羟基四氢吡喃-2-基]氧基甲基]四氢吡喃-3,4,5-三醇
[CAS# 132278-37-6]

供应商
CAS#: 132278-37-6
产品: (2R,3R,4S,5S,6R)-2-[(Z)-己-3-烯氧基]-6-[[(2S,3R,4S,5R)-3,4,5-三羟基四氢吡喃-2-基]氧基甲基]四氢吡喃-3,4,5-三醇
暂时没有厂家供应该产品。
基本信息
产品名称 (2R,3R,4S,5S,6R)-2-[(Z)-己-3-烯氧基]-6-[[(2S,3R,4S,5R)-3,4,5-三羟基四氢吡喃-2-基]氧基甲基]四氢吡喃-3,4,5-三醇
英文名 (2R,3R,4S,5S,6R)-2-[(Z)-Hex-3-Enoxy]-6-[[(2S,3R,4S,5R)-3,4,5-Trihydroxyoxan-2-Yl]Oxymethyl]Oxane-3,4,5-Triol
别名 (2R,3R,4S,5S,6R)-2-[(Z)-Hex-3-Enoxy]-6-[[(2S,3R,4S,5R)-3,4,5-Trihydroxytetrahydropyran-2-Yl]Oxymethyl]Tetrahydropyran-3,4,5-Triol; (2R,3R,4S,5S,6R)-2-[(Z)-Hex-3-Enoxy]-6-[[(2S,3R,4S,5R)-3,4,5-Trihydroxy-2-Tetrahydropyranyl]Oxymethyl]Tetrahydropyran-3,4,5-Triol; Hxgp
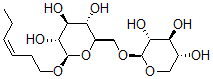
分子结构 CAS 登录号:132278-37-6, (2R,3R,4S,5S,6R)-2-[(Z)-己-3-烯氧基]-6-[[(2S,3R,4S,5R)-3,4,5-三羟基四氢吡喃-2-基]氧基甲基]四氢吡喃-3,4,5-三醇
分子式 C17H30O10
分子量 394.42
CAS 登录号 132278-37-6
分子行输入简码 SMILES [C@H]1([C@H]([C@H](O)[C@H](O[C@H]1OCC\C=C/CC)CO[C@H]2[C@@H]([C@@H](O)[C@@H](CO2)O)O)O)O
国际化学标识码 InChI 1S/C17H30O10/c1-2-3-4-5-6-24-17-15(23)13(21)12(20)10(27-17)8-26-16-14(22)11(19)9(18)7-25-16/h3-4,9-23H,2,5-8H2,1H3/b4-3-/t9-,10-,11+,12-,13+,14-,15-,16+,17-/m1/s1
国际化学标识检索码 InChIKey NVTNXPADRDASMP-PEXIWSMMSA-N
物理化学性质
密度 1.415g/cm3 (计算值)
沸点 622.067°C at 760 mmHg (计算值)
闪点 330.015°C (计算值)
市场分析报告
请浏览(2R,3R,4S,5S,6R)-2-[(Z)-己-3-烯氧基]-6-[[(2S,3R,4S,5R)-3,4,5-三羟基四氢吡喃-2-基]氧基甲基]四氢吡喃-3,4,5-三醇市场分析报告总目录
相关产品
叶下珠醇抑制剂6  二脱乙酰基叶下珠醇抑制剂3  3,4'-二羟基-3-(羟基甲基)-5'-甲基螺[...  2-丙基-1H-吲哚  三(2-苯基苯基)磷酸酯  4-氨基-5-P-甲苯基-4H-[1,2,4]三唑...  4-氨基-3-巯基-5-(2-氯苯基)-[1,2,...  蝗焦肌肽  (3beta,9beta,10alpha,17al...  3-[(2S,3R,4S,5R,6R)-3-[(2...  2-(2,4-二甲基戊烷-3-基氧基)乙醇  2-乙基-4-硝基-1H-咪唑  1,2-二甲基-4-硝基-1H-咪唑  2-(2-甲基-4-硝基-咪唑-1-基)乙酸乙酯  N-(5-乙基-1,3,4-噻二唑-2-基)-2-...