Online Database of Chemicals from Around the World

钴(3+)氯化物-1,2-乙二胺(1:3:3)
[CAS# 13408-73-6]

供应商
CAS#: 13408-73-6
产品: 钴(3+)氯化物-1,2-乙二胺(1:3:3)
暂时没有厂家供应该产品。
基本信息
产品名称 钴(3+)氯化物-1,2-乙二胺(1:3:3)
英文名 Cobalt(3+) Chloride - 1,2-Ethanediamine (1:3:3)
别名 (OC-6-11-A)Tris(1,2-ethanediamine-N,N')cobalt(3+) trichloride
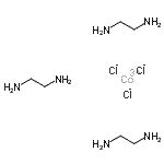
分子结构 CAS 登录号:13408-73-6, 钴(3+)氯化物-1,2-乙二胺(1:3:3)
分子式 C6H24Cl3CoN6
分子量 345.59
CAS 登录号 13408-73-6
EINECS 登录号 236-499-9
分子行输入简码 SMILES [Co+3].[Cl-].[Cl-].[Cl-].NCCN.NCCN.NCCN
国际化学标识码 InChI 1S/3C2H8N2.3ClH.Co/c3*3-1-2-4;;;;/h3*1-4H2;3*1H;/q;;;;;;+3/p-3
国际化学标识检索码 InChIKey NFUAZJFARNNNFB-UHFFFAOYSA-K
物理化学性质
沸点 119.7°C at 760 mmHg (计算值)
闪点 33.9°C (计算值)
折射率 (计算值)
市场分析报告
请浏览钴(3+)氯化物-1,2-乙二胺(1:3:3)市场分析报告总目录
相关产品
7-硝基-1,3-苯并噻唑-2(3H)-酮  3,4-二氟-5-(三氟甲基)苯甲醛  N-[(1S,6S,7R,8R,8aR)-1,7,...  6,7-二羟基-1,2,3,4-四氢-2-萘甲酸  3-苯基-3,7A-二氢-1H-吡咯并[1,5-c...  9-去氧代-12-脱氧-9,12-环氧红霉素  7-氧杂-6-氮杂螺[双环[2.2.1]庚烷-2,...  6,7-二羟基-3,4-二氢-2-萘甲酸  N-(乙基硫代氨基甲酰)甘氨酸  5-(溴甲基)-2-噻吩甲腈  2-氨基-4,5,6,7-四氢-1,3-苯并噻唑-...  3,4,5-三氟苯甲腈  (4S)-1-甲基-4-丙基-L-脯氨酰胺  乙基[3-(3-吡啶基)苯基]乙酸酯  丁基(2E)-2-己烯酸酯