Online Database of Chemicals from Around the World

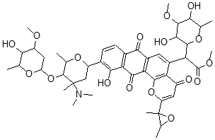
2-(3,5-二羟基-4-甲氧基-6-甲基四氢吡喃-2-基)-2-[10-[4-二甲基氨基-5-(5-羟基-4-甲氧基-6-甲基四氢吡喃-2-基)氧基-4,6-二甲基四氢吡喃-2-基]-2-(2,3-二甲基环氧乙烷-2-基)-11-羟基-4,7,12-三氧代萘并[2,3-h]苯并吡喃-5-基]乙酸甲酯
[CAS# 134887-78-8]

供应商
CAS#: 134887-78-8
产品: 2-(3,5-二羟基-4-甲氧基-6-甲基四氢吡喃-2-基)-2-[10-[4-二甲基氨基-5-(5-羟基-4-甲氧基-6-甲基四氢吡喃-2-基)氧基-4,6-二甲基四氢吡喃-2-基]-2-(2,3-二甲基环氧乙烷-2-基)-11-羟基-4,7,12-三氧代萘并[2,3-h]苯并吡喃-5-基]乙酸甲酯
暂时没有厂家供应该产品。
基本信息
产品名称 2-(3,5-二羟基-4-甲氧基-6-甲基四氢吡喃-2-基)-2-[10-[4-二甲基氨基-5-(5-羟基-4-甲氧基-6-甲基四氢吡喃-2-基)氧基-4,6-二甲基四氢吡喃-2-基]-2-(2,3-二甲基环氧乙烷-2-基)-11-羟基-4,7,12-三氧代萘并[2,3-h]苯并吡喃-5-基]乙酸甲酯
英文名 Methyl 2-(3,5-Dihydroxy-4-Methoxy-6-Methyloxan-2-Yl)-2-[10-[4-Dimethylamino-5-(5-Hydroxy-4-Methoxy-6-Methyloxan-2-Yl)Oxy-4,6-Dimethyloxan-2-Yl]-2-(2,3-Dimethyloxiran-2-Yl)-11-Hydroxy-4,7,12-Trioxonaphtho[2,3-h]Chromen-5-Yl]Acetate
别名 Methyl 2-(3,5-Dihydroxy-4-Methoxy-6-Methyl-Tetrahydropyran-2-Yl)-2-[10-[4-Dimethylamino-5-(5-Hydroxy-4-Methoxy-6-Methyl-Tetrahydropyran-2-Yl)Oxy-4,6-Dimethyl-Tetrahydropyran-2-Yl]-2-(2,3-Dimethyloxiran-2-Yl)-11-Hydroxy-4,7,12-Trioxo-Naphtho[2,3-H]Chromen-5-Yl]Acetate; 2-(3,5-Dihydroxy-4-Methoxy-6-Methyl-2-Tetrahydropyranyl)-2-[10-[4-Dimethylamino-5-[(5-Hydroxy-4-Methoxy-6-Methyl-2-Tetrahydropyranyl)Oxy]-4,6-Dimethyl-2-Tetrahydropyranyl]-2-(2,3-Dimethyl-2-Oxiranyl)-11-Hydroxy-4,7,12-Trioxo-5-Naphtho[2,3-H]Chromenyl]Acetic Acid Methyl Ester; 2-(3,5-Dihydroxy-4-Methoxy-6-Methyl-Tetrahydropyran-2-Yl)-2-[10-[4-Dimethylamino-5-(5-Hydroxy-4-Methoxy-6-Methyl-Tetrahydropyran-2-Yl)Oxy-4,6-Dimethyl-Tetrahydropyran-2-Yl]-2-(2,3-Dimethyloxiran-2-Yl)-11-Hydroxy-4,7,12-Triketo-Naphtho[2,3-H]Chromen-5-Yl]Acetic Acid Methyl Ester
分子结构 CAS 登录号:134887-78-8, 2-(3,5-二羟基-4-甲氧基-6-甲基四氢吡喃-2-基)-2-[10-[4-二甲基氨基-5-(5-羟基-4-甲氧基-6-甲基四氢吡喃-2-基)氧基-4,6-二甲基四氢吡喃-2-基]-2-(2,3-二甲基环氧乙烷-2-基)-11-羟基-4,7,12-三氧代萘并[2,3-h]苯并吡喃-5-基]乙酸甲酯
分子式 C47H59NO17
分子量 909.98
CAS 登录号 134887-78-8
分子行输入简码 SMILES C1=C(C6=C(C2=C1C(=O)C5=C(C2=O)C(=C(C3CC(N(C)C)(C)C(C(O3)C)OC4OC(C(O)C(C4)OC)C)C=C5)O)OC(=CC6=O)C7(OC7C)C)C(C8OC(C(O)C(C8O)OC)C)C(=O)OC
国际化学标识码 InChI 1S/C47H59NO17/c1-18-35(50)27(57-9)16-30(61-18)64-44-20(3)60-28(17-46(44,5)48(7)8)22-12-13-23-32(38(22)53)39(54)33-25(37(23)52)14-24(31-26(49)15-29(63-41(31)33)47(6)21(4)65-47)34(45(56)59-11)42-40(55)43(58-10)36(51)19(2)62-42/h12-15,18-21,27-28,30,34-36,40,42-44,50-51,53,55H,16-17H2,1-11H3
国际化学标识检索码 InChIKey GCSUFJBMYLHGSO-UHFFFAOYSA-N
物理化学性质
密度 1.429g/cm3 (计算值)
沸点 986.947°C at 760 mmHg (计算值)
闪点 550.686°C (计算值)
市场分析报告
请浏览2-(3,5-二羟基-4-甲氧基-6-甲基四氢吡喃-2-基)-2-[10-[4-二甲基氨基-5-(5-羟基-4-甲氧基-6-甲基四氢吡喃-2-基)氧基-4,6-二甲基四氢吡喃-2-基]-2-(2,3-二甲基环氧乙烷-2-基)-11-羟基-4,7,12-三氧代萘并[2,3-h]苯并吡喃-5-基]乙酸甲酯市场分析报告总目录
相关产品
2-[10-[4-氨基-5-(5-羟基-4-甲氧基...  5-甲基-4-[[4-(三氟甲基)苯基]氨基甲酰]...  4-[7-[4-(4-羧基-3-甲氧基-2,5,6...  9-[(2R,3R,5S)-3-氟-5-(羟基甲基...  (2S,3R,4S,5R)-2-[6-氨基-8-(...  四氢醛甾酮  二(6-氨基喹啉)二氯铂(II)  3-羟基十一烷酸与3-羟基庚酸,3-羟基壬酸和3-...  1-乙基-6-甲氧基-2H-喹啉  1-乙基-6-甲氧基喹啉-1-鎓氯化物  (1R,2R,4S)-4-[(2R,4S,5S,6...  2,5-二羟基-3-甲基-6-[(S)-1,2,2...  [(3S,4R)-4-甲基-2-[(4R,5R)-...  钠[7-羟基-10,13-二甲基-17-(6-甲基...  3-(六氢-1H-氮杂卓-1-基)-3'-硝基苯丙...