Online Database of Chemicals from Around the World

布洛芬基-辅酶A
[CAS# 135027-64-4]

供应商
CAS#: 135027-64-4
产品: 布洛芬基-辅酶A
暂时没有厂家供应该产品。
基本信息
产品名称 布洛芬基-辅酶A
英文名 Ibuprofenyl-coenzyme A
别名 S-[2-[3-[[(2R)-4-[[[(2R,3S,4R,5R)-5-(6-Aminopurin-9-Yl)-4-Hydroxy-3-Phosphonooxy-Tetrahydrofuran-2-Yl]Methoxy-Hydroxy-Phosphoryl]Oxy-Hydroxy-Phosphoryl]Oxy-2-Hydroxy-3,3-Dimethyl-Butanoyl]Amino]Propanoylamino]Ethyl] (2S)-2-(4-Tert-Butylphenyl)Propanethioate; (2S)-2-(4-Tert-Butylphenyl)Propanethioic Acid S-[2-[[3-[[(2R)-4-[[[(2R,3S,4R,5R)-5-(6-Amino-9-Purinyl)-4-Hydroxy-3-Phosphonooxy-2-Tetrahydrofuranyl]Methoxy-Hydroxyphosphoryl]Oxy-Hydroxyphosphoryl]Oxy-2-Hydroxy-3,3-Dimethyl-1-Oxobutyl]Amino]-1-Oxopropyl]Amino]Ethyl] Ester; (2S)-2-(4-Tert-Butylphenyl)Propanethioic Acid S-[2-[3-[[(2R)-4-[[[(2R,3S,4R,5R)-5-(6-Aminopurin-9-Yl)-4-Hydroxy-3-Phosphonooxy-Tetrahydrofuran-2-Yl]Methoxy-Hydroxy-Phosphoryl]Oxy-Hydroxy-Phosphoryl]Oxy-2-Hydroxy-3,3-Dimethyl-Butanoyl]Amino]Propanoylamino]Ethyl] Ester
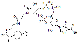
分子结构 CAS 登录号:135027-64-4, 布洛芬基-辅酶A
分子式 C34H52N7O17P3S
分子量 955.80
CAS 登录号 135027-64-4
分子行输入简码 SMILES [C@H]1(O[C@@H]([C@@H](O[P](=O)(O)O)[C@H]1O)CO[P](O[P](OCC([C@@H](O)C(=O)NCCC(=O)NCCSC(=O)[C@H](C2=CC=C(C(C)(C)C)C=C2)C)(C)C)(=O)O)(=O)O)[N]3C4=C(N=C3)C(=NC=N4)N
国际化学标识码 InChI 1S/C34H52N7O17P3S/c1-19(20-7-9-21(10-8-20)33(2,3)4)32(46)62-14-13-36-23(42)11-12-37-30(45)27(44)34(5,6)16-55-61(52,53)58-60(50,51)54-15-22-26(57-59(47,48)49)25(43)31(56-22)41-18-40-24-28(35)38-17-39-29(24)41/h7-10,17-19,22,25-27,31,43-44H,11-16H2,1-6H3,(H,36,42)(H,37,45)(H,50,51)(H,52,53)(H2,35,38,39)(H2,47,48,49)/t19-,22+,25+,26+,27-,31+/m0/s1
国际化学标识检索码 InChIKey AUWPNTKLVZJJLA-FTEDYNDWSA-N
物理化学性质
密度 1.661g/cm3 (计算值)
市场分析报告
请浏览布洛芬基-辅酶A市场分析报告总目录
相关产品
4-甲烷磺酰氨基-N-[(4-苯基哌嗪-2-基)甲...  1-乙基-6-氟-7-[4-(4-硝基苯甲酰)哌嗪...  苯基甲基2-[[(2S)-2-(乙酰基硫基甲基)-...  3alpha-羟基-2,2,3B-三甲基-4-亚甲...  2-(己烷-2-基氨基)乙酰胺  N,N,N',N'-四(2-氯乙基)-4,8-二(...  卵泡-刺激-激素beta子单元 (51-65)  [(2R,3S,4R,5R)-5-(6-氨基-2-...  [(2R,3S,4R,5R)-5-(6-氨基-2-...  N-[3-(2-氯-4-氟苯氧基)丙基]-N-甲基...  (4aR,9aR)-5-甲氧基-2-丙基-1,3,...  卵泡刺激-激素-beta子单元 (1-15)  十二-缬氨霉素  [(2R,3S,4R,5R)-5-(2,6-二氧代...  3-(苯基亚甲基氨基)-2H-三嗪并[5,6-b]...