Online Database of Chemicals from Around the World

(3S,6R,12S,15R)-3-[(2S)-丁烷-2-基]-19-庚基-9-(1-羟基乙基)-12-(羟基甲基)-15-(2-甲基丙基)-6-(苯基甲基)-1-氧杂-4,7,10,13,16-五氮杂环十九烷-2,5,8,11,14,17-六酮
[CAS# 140909-80-4]

基本信息
产品名称 (3S,6R,12S,15R)-3-[(2S)-丁烷-2-基]-19-庚基-9-(1-羟基乙基)-12-(羟基甲基)-15-(2-甲基丙基)-6-(苯基甲基)-1-氧杂-4,7,10,13,16-五氮杂环十九烷-2,5,8,11,14,17-六酮
英文名 (3S,6R,12S,15R)-3-[(2S)-Butan-2-Yl]-19-Heptyl-9-(1-Hydroxyethyl)-12-(Hydroxymethyl)-15-(2-Methylpropyl)-6-(Phenylmethyl)-1-Oxa-4,7,10,13,16-Pentazacyclononadecane-2,5,8,11,14,17-Hexone
别名 (3S,6R,12S,15R)-19-Heptyl-9-(1-Hydroxyethyl)-12-(Hydroxymethyl)-15-Isobutyl-6-(Phenylmethyl)-3-Sec-Butyl-1-Oxa-4,7,10,13,16-Pentazacyclononadecane-2,5,8,11,14,17-Hexone; (3S,6R,12S,15R)-6-(Benzyl)-19-Heptyl-9-(1-Hydroxyethyl)-15-Isobutyl-12-Methylol-3-Sec-Butyl-1-Oxa-4,7,10,13,16-Pentazacyclononadecane-2,5,8,11,14,17-Triquinone; Serrawettin W2
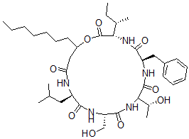
分子结构 CAS 登录号:140909-80-4, (3S,6R,12S,15R)-3-[(2S)-丁烷-2-基]-19-庚基-9-(1-羟基乙基)-12-(羟基甲基)-15-(2-甲基丙基)-6-(苯基甲基)-1-氧杂-4,7,10,13,16-五氮杂环十九烷-2,5,8,11,14,17-六酮
分子式 C38H61N5O9
分子量 731.93
CAS 登录号 140909-80-4
分子行输入简码 SMILES [C@H]1(NC(=O)[C@H](NC(=O)C(NC(=O)[C@@H](NC(=O)[C@H](NC(=O)CC(OC1=O)CCCCCCC)CC(C)C)CO)[C@H](O)C)CC2=CC=CC=C2)[C@H](CC)C
国际化学标识码 InChI 1S/C38H61N5O9/c1-7-9-10-11-15-18-27-21-31(46)39-28(19-23(3)4)34(47)41-30(22-44)36(49)43-33(25(6)45)37(50)40-29(20-26-16-13-12-14-17-26)35(48)42-32(24(5)8-2)38(51)52-27/h12-14,16-17,23-25,27-30,32-33,44-45H,7-11,15,18-22H2,1-6H3,(H,39,46)(H,40,50)(H,41,47)(H,42,48)(H,43,49)/t24-,25+,27?,28+,29+,30-,32-,33?/m0/s1
国际化学标识检索码 InChIKey JJJUZZODDZXKCZ-XVPNFOEFSA-N
物理化学性质
密度 1.081g/cm3 (计算值)
沸点 1061.054°C at 760 mmHg (计算值)
闪点 595.504°C (计算值)
市场分析报告
请浏览(3S,6R,12S,15R)-3-[(2S)-丁烷-2-基]-19-庚基-9-(1-羟基乙基)-12-(羟基甲基)-15-(2-甲基丙基)-6-(苯基甲基)-1-氧杂-4,7,10,13,16-五氮杂环十九烷-2,5,8,11,14,17-六酮市场分析报告总目录
相关产品
alpha-[[(3-甲氧基丙基)氨基]甲基]-a...  1-苯基-3-(甲基氨基)-2-丁烯-1-酮  N-[3-甲基-1-[[(1S)-1-(4-甲基苯...  2-[2-(2-氨基-2-氧代乙基)庚酰]-1-羟...  2-[3-[(5,7-二氟-1,3-苯并噻唑-2-...  2-[4-氧代-3-[[5-(三氟甲基)-1,3-...  钙-40  钴-56  Balhimycin  (E)-N-[2-[[2-[[(2S)-1-[[(...  2-[(2,6-二乙基苯基)-(甲氧基甲基)氨基]...  2-(2-呋喃基)-5-苯基-1,3,4-恶二唑  叔-丁基甲基亚砜  2-甲基-2-甲基磺酰基-丙烷  2-(乙烯基硫代)-2-甲基-丙烷