Online Database of Chemicals from Around the World

2-乙基-9-羟基-6-(5-羟基-4-甲氧基-4,6-二甲基四氢吡喃-2-基)氧基-8-(3-羟基-6-甲基-4-甲基氨基四氢吡喃-2-基)氧基-1,5,7,9,11,13-六甲基-3,15-二氧杂双环[10.2.1]十五碳-12-烯-4,14-二酮
[CAS# 141340-34-3]

供应商
CAS#: 141340-34-3
产品: 2-乙基-9-羟基-6-(5-羟基-4-甲氧基-4,6-二甲基四氢吡喃-2-基)氧基-8-(3-羟基-6-甲基-4-甲基氨基四氢吡喃-2-基)氧基-1,5,7,9,11,13-六甲基-3,15-二氧杂双环[10.2.1]十五碳-12-烯-4,14-二酮
暂时没有厂家供应该产品。
基本信息
产品名称 2-乙基-9-羟基-6-(5-羟基-4-甲氧基-4,6-二甲基四氢吡喃-2-基)氧基-8-(3-羟基-6-甲基-4-甲基氨基四氢吡喃-2-基)氧基-1,5,7,9,11,13-六甲基-3,15-二氧杂双环[10.2.1]十五碳-12-烯-4,14-二酮
英文名 2-Ethyl-9-Hydroxy-6-(5-Hydroxy-4-Methoxy-4,6-Dimethyloxan-2-Yl)Oxy-8-(3-Hydroxy-6-Methyl-4-Methylaminooxan-2-Yl)Oxy-1,5,7,9,11,13-Hexamethyl-3,15-Dioxabicyclo[10.2.1]Pentadec-12-Ene-4,14-Dione
别名 2-Ethyl-9-Hydroxy-6-(5-Hydroxy-4-Methoxy-4,6-Dimethyl-Tetrahydropyran-2-Yl)Oxy-8-(3-Hydroxy-6-Methyl-4-Methylamino-Tetrahydropyran-2-Yl)Oxy-1,5,7,9,11,13-Hexamethyl-3,15-Dioxabicyclo[10.2.1]Pentadec-12-Ene-4,14-Dione; 2-Ethyl-9-Hydroxy-6-[(5-Hydroxy-4-Methoxy-4,6-Dimethyl-2-Tetrahydropyranyl)Oxy]-8-[(3-Hydroxy-6-Methyl-4-Methylamino-2-Tetrahydropyranyl)Oxy]-1,5,7,9,11,13-Hexamethyl-3,15-Dioxabicyclo[10.2.1]Pentadec-12-Ene-4,14-Dione; 2-Ethyl-9-Hydroxy-6-(5-Hydroxy-4-Methoxy-4,6-Dimethyl-Tetrahydropyran-2-Yl)Oxy-8-(3-Hydroxy-6-Methyl-4-Methylamino-Tetrahydropyran-2-Yl)Oxy-1,5,7,9,11,13-Hexamethyl-3,15-Dioxabicyclo[10.2.1]Pentadec-12-Ene-4,14-Quinone
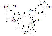
分子结构 CAS 登录号:141340-34-3, 2-乙基-9-羟基-6-(5-羟基-4-甲氧基-4,6-二甲基四氢吡喃-2-基)氧基-8-(3-羟基-6-甲基-4-甲基氨基四氢吡喃-2-基)氧基-1,5,7,9,11,13-六甲基-3,15-二氧杂双环[10.2.1]十五碳-12-烯-4,14-二酮
分子式 C36H61NO12
分子量 699.88
CAS 登录号 141340-34-3
分子行输入简码 SMILES C(C3OC(=O)C(C(OC1OC(C(O)C(OC)(C1)C)C)C(C(OC2OC(CC(NC)C2O)C)C(O)(CC(C4=C(C(=O)C3(O4)C)C)C)C)C)C)C
国际化学标识码 InChI 1S/C36H61NO12/c1-13-24-36(10)29(39)19(4)27(49-36)17(2)15-34(8,42)31(48-33-26(38)23(37-11)14-18(3)44-33)20(5)28(21(6)32(41)46-24)47-25-16-35(9,43-12)30(40)22(7)45-25/h17-18,20-26,28,30-31,33,37-38,40,42H,13-16H2,1-12H3
国际化学标识检索码 InChIKey PLXBYEZLPVFWDI-UHFFFAOYSA-N
物理化学性质
密度 1.213g/cm3 (计算值)
沸点 811.161°C at 760 mmHg (计算值)
闪点 444.374°C (计算值)
市场分析报告
请浏览2-乙基-9-羟基-6-(5-羟基-4-甲氧基-4,6-二甲基四氢吡喃-2-基)氧基-8-(3-羟基-6-甲基-4-甲基氨基四氢吡喃-2-基)氧基-1,5,7,9,11,13-六甲基-3,15-二氧杂双环[10.2.1]十五碳-12-烯-4,14-二酮市场分析报告总目录
相关产品
(2R,3R,4S,5R)-2-[6-氨基-2-(...  3-甲基-2-[(Z)-(1-甲基-2-氧代吡咯烷...  1-甲基-5-硝基-2-苯基硒基咪唑  赖氨酰-精氨酰-精氨酰色氨酰-赖氨酰-赖氨酸  赖氨酰-精氨酰-精氨酰-苯丙氨酰-赖氨酰-赖氨酸  Gambieric acid B  [4-甲氧基-5-甲基-2-[(2E,4E,6E)...  [4-甲氧基-5-甲基-2-[(2E,4E,6E)...  (2S)-1-[(2S)-2-氨基己基]二硫基己烷...  3-甲基-4-[16-(4-甲基-2,5-二氧代呋...  (2S)-2-[[(2S)-2,6-二氨基己基]氨...  [(3-氨基-4-甲基苯甲酰)氧基-二丁基锡烷基]...  (-)-N-((S)-2,3-二氢-1-甲基-2-...  环己基甲基1-[2-(4-叠氮基苯基)-2-氧代乙...  3,4-环氧-6-甲基环己基甲基-3,4-环氧-6...