Online Database of Chemicals from Around the World

四乙基(3-氨基-1,1-丙烷二基)二(膦酸酯)
[CAS# 141473-49-6]

供应商
Achemica 瑞士 询价快递  
+41 (24) 466-2929
contact@achemica.com
化学品生产商(2010 年起)
Epsilon Chimie Chemical Manufacturer 法国 询价快递  
+33 (2) 9842-4650
pierre.cornec@epsilon-chimie.com
化学品生产商
International Laboratory Limited 美国 询价快递  
+1 (650) 278-9963
admin@intlab.org
化学品生产商(2002 年起)
Manchester Organics Ltd. 英国 询价快递  
+44 (1928) 710-200
info@manchesterorganics.com
化学品生产商
基本信息
产品名称 四乙基(3-氨基-1,1-丙烷二基)二(膦酸酯)
英文名 Tetraethyl (3-Amino-1,1-Propanediyl)Bis(Phosphonate)
别名 3,3-bis(diethoxyphosphoryl)propan-1-amine; TETRAETHYL(3-AMINOPROPYLIDENE)BISPHOSPHONATE
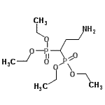
分子结构 CAS 登录号:141473-49-6, 四乙基(3-氨基-1,1-丙烷二基)二(膦酸酯)
分子式 C11H27NO6P2
分子量 331.28
CAS 登录号 141473-49-6
分子行输入简码 SMILES CCOP(=O)(C(CCN)P(=O)(OCC)OCC)OCC
国际化学标识码 InChI 1S/C11H27NO6P2/c1-5-15-19(13,16-6-2)11(9-10-12)20(14,17-7-3)18-8-4/h11H,5-10,12H2,1-4H3
国际化学标识检索码 InChIKey FPOJOLJEOJMAHY-UHFFFAOYSA-N
物理化学性质
密度 1.2±0.1g/cm3 (计算值)
沸点 424.5±40.0°C at 760 mmHg (计算值)
闪点 210.5±27.3°C (计算值)
折射率 1.449 (计算值)
市场分析报告
请浏览四乙基(3-氨基-1,1-丙烷二基)二(膦酸酯)市场分析报告总目录
相关产品
(7aS,11aR)-10-甲基-4,5,7A,8...  4-乙基-2-吗啉醇  2-甲氧基-4-甲基吗啉  2-(2,2,3,3,4,4,4-七氟丁酰基)环戊...  2-(2,2,3,3,4,4,5,5,6,6,7,...  2-溴-8-氯-1-辛烯  (<sup>2</sup>H<sub>3</sub...  丙基4-哌啶基氨基甲酸酯  异丙基4-哌啶基氨基甲酸酯  4-硫基-1,2-吡唑烷二甲醛  (3E)-5-乙基-3-亚肼基-4-甲氧基-2,3...  甲基3-(1,2-恶唑-4-基)丙酸酯  (1R,2S)-3-乙炔基-3,5-环己二烯-1,...  3-(羟基甲基)-7-氧杂双环[2.2.1]庚烷-...  4-亚甲基-1-氧杂-6,9-二氮杂螺[4.5]癸...