Online Database of Chemicals from Around the World

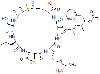
2-D-丝氨酸-5-L-精氨酸-6-((2S,4E,6E,8S,9S)-9-(乙酰氧基)-4,5,6,7-四去氢-2,6,8-三甲基-10-苯基-L-3-氨基癸酸)-微囊藻毒素La
[CAS# 141634-76-6]

供应商
CAS#: 141634-76-6
产品: 2-D-丝氨酸-5-L-精氨酸-6-((2S,4E,6E,8S,9S)-9-(乙酰氧基)-4,5,6,7-四去氢-2,6,8-三甲基-10-苯基-L-3-氨基癸酸)-微囊藻毒素La
暂时没有厂家供应该产品。
基本信息
产品名称 2-D-丝氨酸-5-L-精氨酸-6-((2S,4E,6E,8S,9S)-9-(乙酰氧基)-4,5,6,7-四去氢-2,6,8-三甲基-10-苯基-L-3-氨基癸酸)-微囊藻毒素La
英文名 2-D-serine-5-L-arginine-6-((2S,4E,6E,8S,9S)-9-(acetyloxy)-4,5,6,7-tetradehydro-2,6,8-trimethyl-10-phenyl-L-3-aminodecanoic acid)-Cyanoginosin LA
别名 (5R,8R,11R,12S,15S,18S,19S,22R)-18-[(1E,3E,5S,6S)-6-Acetoxy-3,5-Dimethyl-7-Phenyl-Hepta-1,3-Dienyl]-15-(3-Guanidinopropyl)-5-(Hydroxymethyl)-8-Isobutyl-1,12,19-Trimethyl-2-Methylene-3,6,9,13,16,20,25-Heptaoxo-1,4,7,10,14,17,21-Heptazacyclopentacosane-11,22-Dicarboxylic Acid; (5R,8R,11R,12S,15S,18S,19S,22R)-18-[(1E,3E,5S,6S)-6-Acetoxy-3,5-Dimethyl-7-Phenylhepta-1,3-Dienyl]-15-(3-Guanidinopropyl)-5-(Hydroxymethyl)-8-Isobutyl-1,12,19-Trimethyl-2-Methylene-3,6,9,13,16,20,25-Heptaoxo-1,4,7,10,14,17,21-Heptazacyclopentacosane-11,22-Dicarboxylic Acid; (5R,8R,11R,12S,15S,18S,19S,22R)-18-[(1E,3E,5S,6S)-6-Acetoxy-3,5-Dimethyl-7-Phenyl-Hepta-1,3-Dienyl]-15-(3-Guanidinopropyl)-8-Isobutyl-3,6,9,13,16,20,25-Heptaketo-1,12,19-Trimethyl-2-Methylene-5-Methylol-1,4,7,10,14,17,21-Heptazacyclopentacosane-11,22-Dicarboxylic Acid
分子结构 CAS 登录号:141634-76-6, 2-D-丝氨酸-5-L-精氨酸-6-((2S,4E,6E,8S,9S)-9-(乙酰氧基)-4,5,6,7-四去氢-2,6,8-三甲基-10-苯基-L-3-氨基癸酸)-微囊藻毒素La
分子式 C50H74N10O14
分子量 1039.19
CAS 登录号 141634-76-6
分子行输入简码 SMILES [C@H]1(NC(=O)[C@H]([C@@H](NC(=O)[C@H](NC(=O)[C@H](NC(=O)C(N(C(=O)CC[C@@H](NC(=O)[C@H]([C@@H](NC1=O)\C=C\C(=C\[C@@H]([C@@H](OC(=O)C)CC2=CC=CC=C2)C)C)C)C(O)=O)C)=C)CO)CC(C)C)C(O)=O)C)CCCN=C(N)N
国际化学标识码 InChI 1S/C50H74N10O14/c1-26(2)22-37-46(68)59-41(49(72)73)30(6)43(65)55-35(16-13-21-53-50(51)52)45(67)54-34(18-17-27(3)23-28(4)39(74-32(8)62)24-33-14-11-10-12-15-33)29(5)42(64)56-36(48(70)71)19-20-40(63)60(9)31(7)44(66)58-38(25-61)47(69)57-37/h10-12,14-15,17-18,23,26,28-30,34-39,41,61H,7,13,16,19-22,24-25H2,1-6,8-9H3,(H,54,67)(H,55,65)(H,56,64)(H,57,69)(H,58,66)(H,59,68)(H,70,71)(H,72,73)(H4,51,52,53)/b18-17+,27-23+/t28-,29-,30-,34-,35-,36+,37+,38+,39-,41+/m0/s1
国际化学标识检索码 InChIKey LIAFLGINUNSQGF-QKKGDWEISA-N
物理化学性质
密度 1.337g/cm3 (计算值)
市场分析报告
请浏览2-D-丝氨酸-5-L-精氨酸-6-((2S,4E,6E,8S,9S)-9-(乙酰氧基)-4,5,6,7-四去氢-2,6,8-三甲基-10-苯基-L-3-氨基癸酸)-微囊藻毒素La市场分析报告总目录
相关产品
1-(N-甲基丝氨酸)-5-L-精氨酸-6-((2...  2-(乙基亚胺亚甲基氨基)-N,N-二甲基乙胺  (2S)-N-(2-氨基乙酰基)-2-[[(3R)...  [3S-(3alpha,5alpha,8alpha...  (+/-)-反式-1,2-环己烷二甲酸酐  2-(7-氧杂双环(2.2.1)庚烷-2-外,3-...  3-叔丁基-1-甲基吡唑  5-叔丁基-1-甲基吡唑  3,5-二叔丁基-1-甲基吡唑  3,5-二叔丁基-1,4-二甲基吡唑  N,N'-二(亚水杨基)乙烯二氨基镍(II)  2-[[2,4-二氧代-5-[[3-[[4-(苯基...  [(2R,3S,4R)-3,4-二羟基-5-(6-...  N-三十四烷  3-甲基二十九烷