Online Database of Chemicals from Around the World

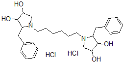
2-苄基-1-[6-(2-苄基-3,4-二羟基吡咯烷-1-基)己基]吡咯烷-3,4-二醇二盐酸盐
[CAS# 141839-02-3]

供应商
CAS#: 141839-02-3
产品: 2-苄基-1-[6-(2-苄基-3,4-二羟基吡咯烷-1-基)己基]吡咯烷-3,4-二醇二盐酸盐
暂时没有厂家供应该产品。
基本信息
产品名称 2-苄基-1-[6-(2-苄基-3,4-二羟基吡咯烷-1-基)己基]吡咯烷-3,4-二醇二盐酸盐
英文名 2-Benzyl-1-[6-(2-Benzyl-3,4-Dihydroxypyrrolidin-1-Yl)Hexyl]Pyrrolidine-3,4-Diol Dihydrochloride
别名 2-Benzyl-1-[6-(2-Benzyl-3,4-Dihydroxy-Pyrrolidin-1-Yl)Hexyl]Pyrrolidine-3,4-Diol Dihydrochloride; 2-Benzyl-1-[6-(2-Benzyl-3,4-Dihydroxy-1-Pyrrolidinyl)Hexyl]Pyrrolidine-3,4-Diol Dihydrochloride; 1-[6-[3,4-Dihydroxy-2-(Phenylmethyl)Pyrrolidin-1-Yl]Hexyl]-2-(Phenylmethyl)Pyrrolidine-3,4-Diol Dihydrochloride
分子结构 CAS 登录号:141839-02-3, 2-苄基-1-[6-(2-苄基-3,4-二羟基吡咯烷-1-基)己基]吡咯烷-3,4-二醇二盐酸盐
分子式 C28H42Cl2N2O4
分子量 541.56
CAS 登录号 141839-02-3
分子行输入简码 SMILES [H+].[H+].C(N1C(C(O)C(O)C1)CC2=CC=CC=C2)CCCCCN3C(C(O)C(O)C3)CC4=CC=CC=C4.[Cl-].[Cl-]
国际化学标识码 InChI 1S/C28H40N2O4.2ClH/c31-25-19-29(23(27(25)33)17-21-11-5-3-6-12-21)15-9-1-2-10-16-30-20-26(32)28(34)24(30)18-22-13-7-4-8-14-22;;/h3-8,11-14,23-28,31-34H,1-2,9-10,15-20H2;2*1H
国际化学标识检索码 InChIKey NRKAFSROTVSRAX-UHFFFAOYSA-N
物理化学性质
沸点 666.9°C at 760 mmHg (计算值)
闪点 352.9°C (计算值)
市场分析报告
请浏览2-苄基-1-[6-(2-苄基-3,4-二羟基吡咯烷-1-基)己基]吡咯烷-3,4-二醇二盐酸盐市场分析报告总目录
相关产品
(E)-2-[2-(2-甲基丙氧基)-2-氧代乙基...  [3-[羟基-[羟基-[[5-(5-甲基-2,4-...  N-[2-(二乙酰氨基)-3-(4-异硫氰酸基苯基...  2,2',4,4',6,6'-六硝基[1,1'-联...  alpha-(2-氨基-1-甲基乙基)-4-甲基-...  (4-甲硫基苯基)3-羟基-2-(2-苯基苯基)丙...  2-[4-[二(2-氯乙基)氨基]苯基]乙烯-1,...  3-Ethoxy-2-oxobutyraldehy...  普拉定霉素Q  7alpha-(1-羟基-1,4-二甲基戊基)-6...  4-[丁基-[[4-[2-(2H-四唑-5-基)苯...  1,1'-二乙基-2,2'-二碳菁碘化物  1-[(3,4,5-三甲氧基苯基)甲基]-1,2,...  4-溴甲基-3-硝基苯甲酸琥珀酰亚胺酯  商陆种苷N