Online Database of Chemicals from Around the World

地高辛-碘组胺(二(O-羧甲基肟))
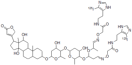
[CAS# 142078-77-1]

供应商
CAS#: 142078-77-1
产品: 地高辛-碘组胺(二(O-羧甲基肟))
暂时没有厂家供应该产品。
基本信息
产品名称 地高辛-碘组胺(二(O-羧甲基肟))
英文名 Digoxin-Iodohistamine(Bis(O-Carboxymethyloxime))
别名 Dihbco
分子结构 CAS 登录号:142078-77-1, 地高辛-碘组胺(二(O-羧甲基肟))
分子式 C55H80I2N8O16
分子量 1363.09
CAS 登录号 142078-77-1
分子行输入简码 SMILES [125I]C1=C([NH]C=N1)CCNC(=O)CO\N=C\CC(OC8C(OC(OC7C(OC(OC6CC5C(C4C(C2(O)C(C(CC2)C3=CC(OC3)=O)(C(O)C4)C)CC5)(CC6)C)CC7O)C)CC8O)C)OC(/C=N/OCC(=O)NCCC9=C([125I])N=C[NH]9)C
国际化学标识码 InChI 1S/C55H80I2N8O16/c1-29(23-65-75-26-44(70)59-16-11-39-52(57)63-28-61-39)76-46(12-17-64-74-25-43(69)58-15-10-38-51(56)62-27-60-38)80-49-30(2)78-48(22-41(49)67)81-50-31(3)77-47(21-40(50)66)79-34-8-13-53(4)33(19-34)6-7-36-37(53)20-42(68)54(5)35(9-14-55(36,54)72)32-18-45(71)73-24-32/h17-18,23,27-31,33-37,40-42,46-50,66-68,72H,6-16,19-22,24-26H2,1-5H3,(H,58,69)(H,59,70)(H,60,62)(H,61,63)/b64-17+,65-23+/i56-2,57-2
国际化学标识检索码 InChIKey YMJSUCJSHDPZGU-DYNKCWONSA-N
物理化学性质
密度 1.746g/cm3 (计算值)
市场分析报告
请浏览地高辛-碘组胺(二(O-羧甲基肟))市场分析报告总目录
相关产品
1,2-苯醌二肟  脱氧皮质酮硫酸酯  二(2-甲基-2-苯基丙基)二氯化锡  N,N'-二(2-羧基乙基)-1,4-二氨基丁烷  5-[9-(3-羧基-4-硝基苯基)二硫基壬基二硫...  4-[(2-溴乙基)(2-溴丙基)氨基]苯-1-磺...  4-氨基-1-[(6R,7R,9R)-4-氨基-6...  1-[(5R,6R,7R,9R)-4-氨基-6-(...  (2S,3S,4R,5R)-5-(6-氨基-2-己...  1-(3-氟苯基)-1H-四唑-5-硫醇  苯基-(7-丙-2-基-3,7-二氮杂双环[3.3...  5-乙基-5-(3-羟基-3-甲基丁基)巴比妥酸  DL-甘油醛 3-磷酸酯  二硫代磷酸O,O-二甲基S-(2-异丙氧基-2-氧...  4-二乙基氨基甲酰甲氧基-3-甲氧基苯乙酸丙基酯