Online Database of Chemicals from Around the World

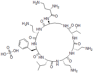
(2S)-2,4-二氨基-N-[(3S,6S,9S,12S,15R,18S,21S)-6,9,18-三(2-氨基乙基)-15-苄基-3-(1-羟基乙基)-12-(2-甲基丙基)-2,5,8,11,14,17,20-七氧代-1,4,7,10,13,16,19-七氧杂环二十三烷-21-基]丁酰胺硫酸盐
[CAS# 142563-39-1]

供应商
CAS#: 142563-39-1
产品: (2S)-2,4-二氨基-N-[(3S,6S,9S,12S,15R,18S,21S)-6,9,18-三(2-氨基乙基)-15-苄基-3-(1-羟基乙基)-12-(2-甲基丙基)-2,5,8,11,14,17,20-七氧代-1,4,7,10,13,16,19-七氧杂环二十三烷-21-基]丁酰胺硫酸盐
暂时没有厂家供应该产品。
基本信息
产品名称 (2S)-2,4-二氨基-N-[(3S,6S,9S,12S,15R,18S,21S)-6,9,18-三(2-氨基乙基)-15-苄基-3-(1-羟基乙基)-12-(2-甲基丙基)-2,5,8,11,14,17,20-七氧代-1,4,7,10,13,16,19-七氧杂环二十三烷-21-基]丁酰胺硫酸盐
英文名 (2S)-2,4-Diamino-N-[(3S,6S,9S,12S,15R,18S,21S)-6,9,18-Tris(2-Aminoethyl)-15-Benzyl-3-(1-Hydroxyethyl)-12-(2-Methylpropyl)-2,5,8,11,14,17,20-Heptaoxo-1,4,7,10,13,16,19-Heptazacyclotricos-21-Yl]Butanamide sulfate
别名 (2S)-2,4-Diamino-N-[(3S,6S,9S,12S,15R,18S,21S)-6,9,18-Tris(2-Aminoethyl)-15-Benzyl-3-(1-Hydroxyethyl)-12-Isobutyl-2,5,8,11,14,17,20-Heptaoxo-1,4,7,10,13,16,19-Heptazacyclotricos-21-Yl]Butanamide; Sulfuric Acid; (2S)-2,4-Diamino-N-[(3S,6S,9S,12S,15R,18S,21S)-6,9,18-Tris(2-Aminoethyl)-15-Benzyl-3-(1-Hydroxyethyl)-12-Isobutyl-2,5,8,11,14,17,20-Heptaketo-1,4,7,10,13,16,19-Heptazacyclotricos-21-Yl]Butyramide; Sulfuric Acid; (2S)-2,4-Diamino-N-[(3S,6S,9S,12S,15R,18S,21S)-6,9,18-Tris(2-Aminoethyl)-3-(1-Hydroxyethyl)-12-(2-Methylpropyl)-2,5,8,11,14,17,20-Heptaoxo-15-(Phenylmethyl)-1,4,7,10,13,16,19-Heptazacyclotricos-21-Yl]Butanamide; Sulfuric Acid
分子结构 CAS 登录号:142563-39-1, (2S)-2,4-二氨基-N-[(3S,6S,9S,12S,15R,18S,21S)-6,9,18-三(2-氨基乙基)-15-苄基-3-(1-羟基乙基)-12-(2-甲基丙基)-2,5,8,11,14,17,20-七氧代-1,4,7,10,13,16,19-七氧杂环二十三烷-21-基]丁酰胺硫酸盐
分子式 C39H69N13O13S
分子量 960.11
CAS 登录号 142563-39-1
分子行输入简码 SMILES [C@H]1(NC(=O)[C@@H](NC(=O)[C@@H](NC(=O)[C@@H](NC(=O)[C@H](NC(=O)[C@@H](NC(=O)[C@@H](NC(=O)[C@@H](N)CCN)CCNC1=O)CCN)CC2=CC=CC=C2)CC(C)C)CCN)CCN)[C@H](O)C.O=[S](=O)(O)O
国际化学标识码 InChI 1S/C39H67N13O9.H2O4S/c1-21(2)19-29-37(59)49-25(10-15-41)33(55)48-27(12-17-43)36(58)52-31(22(3)53)39(61)45-18-13-28(46-32(54)24(44)9-14-40)35(57)47-26(11-16-42)34(56)51-30(38(60)50-29)20-23-7-5-4-6-8-23;1-5(2,3)4/h4-8,21-22,24-31,53H,9-20,40-44H2,1-3H3,(H,45,61)(H,46,54)(H,47,57)(H,48,55)(H,49,59)(H,50,60)(H,51,56)(H,52,58);(H2,1,2,3,4)/t22-,24+,25+,26+,27+,28+,29+,30-,31+;/m1./s1
国际化学标识检索码 InChIKey UMTAIVDIVJJTAV-NEOBPPNMSA-N
市场分析报告
请浏览(2S)-2,4-二氨基-N-[(3S,6S,9S,12S,15R,18S,21S)-6,9,18-三(2-氨基乙基)-15-苄基-3-(1-羟基乙基)-12-(2-甲基丙基)-2,5,8,11,14,17,20-七氧代-1,4,7,10,13,16,19-七氧杂环二十三烷-21-基]丁酰胺硫酸盐市场分析报告总目录
相关产品
21-氨基-6,9,18-三(2-氨基乙基)-15...  (1-吡啶-2-基乙亚基氨基)硫脲  (4S)-4-氨基-5-[[(2R)-1-(羧甲基...  6-羧基-4-硝基喹啉1-氧化物  3-甲氧基-4-[(2S,3R,4S,5S,6R)...  戊基油酸酯  三甲基-[(13S,17S)-13-甲基-3-[2...  1-(二苯基甲基)-4-苯基哌嗪  草酸铵盐  N-(2-羟基乙基)肉豆蔻酰胺  锂-6  3beta-[(2,6-二脱氧-3-O-甲基-be...  5'-脱氧-5'-碘尿苷  7-(二氨基亚甲基氨基)庚基2-氨基-4-(3-羟...  亮氨酰-丝氨酰-脯氨酰-苯丙氨酰-脯氨酰-苯丙氨酰...