Online Database of Chemicals from Around the World

(二乙烯三胺五乙酸-苯丙氨酰(1))-奥曲肽
[CAS# 142694-57-3]

供应商
CAS#: 142694-57-3
产品: (二乙烯三胺五乙酸-苯丙氨酰(1))-奥曲肽
暂时没有厂家供应该产品。
基本信息
产品名称 (二乙烯三胺五乙酸-苯丙氨酰(1))-奥曲肽
英文名 (Dtpa-Phe(1))-Octreotide
别名 (In111-Dtpa-Phe(1))-Octreotide; 161Tb-(Dtpa-Phe(1))-Octreotide; Indium-111-D-Phe(1)-Octreotide
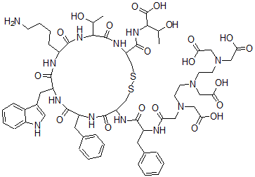
分子结构 CAS 登录号:142694-57-3, (二乙烯三胺五乙酸-苯丙氨酰(1))-奥曲肽
分子式 C63H85N13O20S2
分子量 1408.56
CAS 登录号 142694-57-3
分子行输入简码 SMILES C1=CC=C2C(=C1)[NH]C=C2CC3C(NC(C(NC(C(NC(CSSCC(C(NC(C(N3)=O)CC4=CC=CC=C4)=O)NC(C(CC5=CC=CC=C5)NC(CN(CC(O)=O)CCN(CCN(CC(O)=O)CC(=O)O)CC(=O)O)=O)=O)C(NC(C(C)O)C(=O)O)=O)=O)C(O)C)=O)CCCCN)=O
国际化学标识码 InChI 1S/C63H85N13O20S2/c1-36(77)54-62(94)71-48(61(93)73-55(37(2)78)63(95)96)35-98-97-34-47(70-57(89)44(25-38-13-5-3-6-14-38)66-49(79)29-75(31-51(82)83)23-21-74(30-50(80)81)22-24-76(32-52(84)85)33-53(86)87)60(92)68-45(26-39-15-7-4-8-16-39)58(90)69-46(27-40-28-65-42-18-10-9-17-41(40)42)59(91)67-43(56(88)72-54)19-11-12-20-64/h3-10,13-18,28,36-37,43-48,54-55,65,77-78H,11-12,19-27,29-35,64H2,1-2H3,(H,66,79)(H,67,91)(H,68,92)(H,69,90)(H,70,89)(H,71,94)(H,72,88)(H,73,93)(H,80,81)(H,82,83)(H,84,85)(H,86,87)(H,95,96)
国际化学标识检索码 InChIKey DSCDMAQBPMKHAS-UHFFFAOYSA-N
物理化学性质
密度 1.49g/cm3 (计算值)
沸点 1722.7°C at 760 mmHg (计算值)
闪点 995.7°C (计算值)
市场分析报告
请浏览(二乙烯三胺五乙酸-苯丙氨酰(1))-奥曲肽市场分析报告总目录
相关产品
1,6-二甲基-10,11-二氧代-2,7,8,9...  钍230  钕-147  (1R-(1alpha,4beta))-5'-((...    4-(4-氟-苯基)-噻唑-2-基]-苯基-胺  2-溴-N-叔丁基丙酰胺  1-(2-二甲基氨基乙基)-3-乙基-1-亚硝基脲  1-[3-(4-苯基哌嗪-1-基)丙基]-[1,3...  特戊酸锂盐  2-[2-(4-氟苯基)-1H-吲哚-3-基]-N...  [(2R)-2-(月桂酰氨基)-3-辛氧基丙基]2...  3-乙基庚酸  7-二乙基氨基-4-甲基-2-氧代苯并吡喃-3-甲...  2-[(3-甲氧基苯基)甲基]-1,3-二氢吡喃并...