Online Database of Chemicals from Around the World

(酪氨酰(5,12),赖氨酰(7))-Polyphemusin II 肽
[CAS# 142960-16-5]

供应商
CAS#: 142960-16-5
产品: (酪氨酰(5,12),赖氨酰(7))-Polyphemusin II 肽
暂时没有厂家供应该产品。
基本信息
产品名称 (酪氨酰(5,12),赖氨酰(7))-Polyphemusin II 肽
英文名 (Tyr(5,12),Lys(7))-Polyphemusin II Peptide
别名 5,12-Tyr-7-Lys-Polyphemusin Ii; 5,12-Tyrosyl-7-Lysylpolyphemusin Ii; L-Argininamide, L-Arginyl-L-Arginyl-L-Tryptophyl-L-Cysteinyl-L-Tyrosyl-L-Arginyl-L-Lysyl-L-Cysteinyl-L-Tyrosyl-L-Lysylglycyl-L-Tyrosyl-L-Cysteinyl-L-Tyrosyl-L-Arginyl-L-Lysyl-L-Cysteinyl-, Cyclic (4-17),(8-13)-Bis(Disulfide)
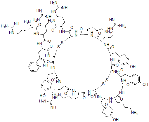
分子结构 CAS 登录号:142960-16-5, (酪氨酰(5,12),赖氨酰(7))-Polyphemusin II 肽
分子式 C109H164N38O22S4
分子量 2486.98
CAS 登录号 142960-16-5
分子行输入简码 SMILES C1=C(C=CC(=C1)CC2C(NC(C(NCC(NC(C(NC3CSSCC(C(N2)=O)NC(C(NC(C(NC(=O)C(NC(C(CSSCC(NC(C(NC(C(NC(C(NC3=O)CC4=CC=C(C=C4)O)=O)CCCNC(N)=N)=O)CCCCN)=O)C(=O)NC(CCCNC(N)=N)C(=O)N)NC(C(CC5=C[NH]C6=C5C=CC=C6)NC(=O)C(CCCNC(N)=N)NC(C(N)CCCNC(N)=N)=O)=O)=O)CC7=CC=C(C=C7)O)CCCNC(=N)N)=O)CCCCN)=O)=O)CC8=CC=C(C=C8)O)=O)=O)CCCCN)=O)O
国际化学标识码 InChI 1S/C109H164N38O22S4/c110-40-6-3-17-72-90(155)131-54-87(152)132-78(48-59-24-32-64(148)33-25-59)96(161)146-85-57-172-171-56-84(102(167)140-79(97(162)135-72)49-60-26-34-65(149)35-27-60)145-95(160)74(19-5-8-42-112)137-92(157)77(23-13-47-129-109(123)124)139-99(164)81(51-62-30-38-67(151)39-31-62)142-104(169)86(147-100(165)82(52-63-53-130-70-16-2-1-14-68(63)70)143-93(158)75(21-11-45-127-107(119)120)134-89(154)69(113)15-9-43-125-105(115)116)58-173-170-55-83(101(166)133-71(88(114)153)20-10-44-126-106(117)118)144-94(159)73(18-4-7-41-111)136-91(156)76(22-12-46-128-108(121)122)138-98(163)80(141-103(85)168)50-61-28-36-66(150)37-29-61/h1-2,14,16,24-39,53,69,71-86,130,148-151H,3-13,15,17-23,40-52,54-58,110-113H2,(H2,114,153)(H,131,155)(H,132,152)(H,133,166)(H,134,154)(H,135,162)(H,136,156)(H,137,157)(H,138,163)(H,139,164)(H,140,167)(H,141,168)(H,142,169)(H,143,158)(H,144,159)(H,145,160)(H,146,161)(H,147,165)(H4,115,116,125)(H4,117,118,126)(H4,119,120,127)(H4,121,122,128)(H4,123,124,129)
国际化学标识检索码 InChIKey MJULKHZUJYASFR-UHFFFAOYSA-N
市场分析报告
请浏览(酪氨酰(5,12),赖氨酰(7))-Polyphemusin II 肽市场分析报告总目录
相关产品
1,3-二辛酰甘油(C8:0)  1,2-二亚甲基环丁烷  1-(氯甲基)-4-(苯基甲基)苯  (3beta,5beta,7alpha,12alp...  2,5-二苯胺基对苯二甲酸二乙酯  二环己基铵乙酸盐  S-[[4-(苯甲酰基硫基甲基)-2,5-二氧代咪...  癸基硫酸氢酯  磷酸钕  2,4,5-三氯扁桃酸  2,4,5-三氯苯基乙醇  2,2,5,5-四甲基-4-[[2-[[(Z)-(...  4-碘托莫西汀  2-苯基-3H-1,3,2-苯并氧杂膦咛-4-酮  8-氧代-8-苯基-7-氧杂-9-氮杂-8-磷杂双...