Online Database of Chemicals from Around the World

[(2R,3S,4R,5R)-3-乙酰氧基-5-[(2S,3S,4R,5R)-3-乙酰氧基-4,5-二羟基四氢吡喃-2-基]氧基-2-[(2E,6E)-3,7,11-三甲基十二碳-2,6,10-三烯氧基]四氢吡喃-4-基]乙酸酯
[CAS# 143838-79-3]

供应商
CAS#: 143838-79-3
产品: [(2R,3S,4R,5R)-3-乙酰氧基-5-[(2S,3S,4R,5R)-3-乙酰氧基-4,5-二羟基四氢吡喃-2-基]氧基-2-[(2E,6E)-3,7,11-三甲基十二碳-2,6,10-三烯氧基]四氢吡喃-4-基]乙酸酯
暂时没有厂家供应该产品。
基本信息
产品名称 [(2R,3S,4R,5R)-3-乙酰氧基-5-[(2S,3S,4R,5R)-3-乙酰氧基-4,5-二羟基四氢吡喃-2-基]氧基-2-[(2E,6E)-3,7,11-三甲基十二碳-2,6,10-三烯氧基]四氢吡喃-4-基]乙酸酯
英文名 [(2R,3S,4R,5R)-3-Acetyloxy-5-[(2S,3S,4R,5R)-3-Acetyloxy-4,5-Dihydroxyoxan-2-Yl]Oxy-2-[(2E,6E)-3,7,11-Trimethyldodeca-2,6,10-Trienoxy]Oxan-4-Yl] Acetate
别名 [(2R,3S,4R,5R)-3-Acetoxy-5-[(2S,3S,4R,5R)-3-Acetoxy-4,5-Dihydroxy-Tetrahydropyran-2-Yl]Oxy-2-[(2E,6E)-3,7,11-Trimethyldodeca-2,6,10-Trienoxy]Tetrahydropyran-4-Yl] Acetate; Acetic Acid [(2R,3S,4R,5R)-3-Acetoxy-5-[[(2S,3S,4R,5R)-3-Acetoxy-4,5-Dihydroxy-2-Tetrahydropyranyl]Oxy]-2-[(2E,6E)-3,7,11-Trimethyldodeca-2,6,10-Trienoxy]-4-Tetrahydropyranyl] Ester; Acetic Acid [(2R,3S,4R,5R)-3-Acetoxy-5-[(2S,3S,4R,5R)-3-Acetoxy-4,5-Dihydroxy-Tetrahydropyran-2-Yl]Oxy-2-[(2E,6E)-3,7,11-Trimethyldodeca-2,6,10-Trienoxy]Tetrahydropyran-4-Yl] Ester
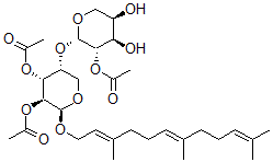
分子结构 CAS 登录号:143838-79-3, [(2R,3S,4R,5R)-3-乙酰氧基-5-[(2S,3S,4R,5R)-3-乙酰氧基-4,5-二羟基四氢吡喃-2-基]氧基-2-[(2E,6E)-3,7,11-三甲基十二碳-2,6,10-三烯氧基]四氢吡喃-4-基]乙酸酯
分子式 C31H48O12
分子量 612.71
CAS 登录号 143838-79-3
分子行输入简码 SMILES [C@@H]2(OC(=O)C)[C@H](O[C@@H]1OC[C@@H](O)[C@@H](O)[C@@H]1OC(=O)C)CO[C@@H](OC\C=C(\CC\C=C(\CCC=C(C)C)C)C)[C@H]2OC(=O)C
国际化学标识码 InChI 1S/C31H48O12/c1-18(2)10-8-11-19(3)12-9-13-20(4)14-15-37-30-29(42-23(7)34)27(40-21(5)32)25(17-39-30)43-31-28(41-22(6)33)26(36)24(35)16-38-31/h10,12,14,24-31,35-36H,8-9,11,13,15-17H2,1-7H3/b19-12+,20-14+/t24-,25-,26-,27-,28+,29+,30-,31+/m1/s1
国际化学标识检索码 InChIKey JDZUTRNFTHMPMQ-VOPDUKPCSA-N
物理化学性质
密度 1.204g/cm3 (计算值)
沸点 686.294°C at 760 mmHg (计算值)
闪点 208.55°C (计算值)
市场分析报告
请浏览[(2R,3S,4R,5R)-3-乙酰氧基-5-[(2S,3S,4R,5R)-3-乙酰氧基-4,5-二羟基四氢吡喃-2-基]氧基-2-[(2E,6E)-3,7,11-三甲基十二碳-2,6,10-三烯氧基]四氢吡喃-4-基]乙酸酯市场分析报告总目录
相关产品
苯基甲基N-[(2S)-4-甲基-1-[[(2S)...  N-环己基-1,3-噻唑-2-胺  (2R,5S)-4,4'aalpha,5,5',6...  3,5-二-叔-丁基-4-羟基苄基乙酸酯  N2-(N2-(N-(N-乙酰基-4-O-(2-(...  2-(4-氯-D-苯丙氨酸)-3-D-色氨酸-6-...  [(2R,3S,4R,5R,6R)-5-乙酰氨基-...  6-[1-(3-氨基-4,5-二羟基四氢呋喃-2-...  4-氨基-5-(1-羟基-1-苯基乙基)四氢呋喃-...  1A,7B-二氢-2H-环氧乙烷并(c)(1)苯并...  乙烯基膦二酰氯  5-氨基-3-乙基-3-苯基-2,6(1H,3H)...  3-乙基-5-羟基-3-苯基-2,6(1H,3H)...  N-(1,2,5,6-四氢-2,6-二氧代-5-乙...  1,3-二叔-丁基氮丙啶-2-酮