基本信息
| 产品名称 |
(E,E,?)-5,16,21,32,33-五溴-4,20-二羟基-2,18-二氧杂-10,27-二氮杂五环(28.2.2.214,17.13,7.119,23)三十八碳-3,5,7(38),14,16,19,21,23(35),28,30,32,33,36-十三烯-11,12,25,26-四酮12,15-二(O-甲基肟) |
| 英文名 |
(E,E,?)-5,16,21,32,33-Pentabromo-4,20-Dihydroxy-2,18-Dioxa-10,27-Diazapentacyclo(28.2.2.214,17.13,7.119,23)Octatriaconta-3,5,7(38),14,16,19,21,23(35),28,30,32,33,36-Tridecaene-11,12,25,26-Tetrone 12,15-Bis(O-Methyloxime) |
| 别名 |
Bastadin 14; 2,18-Dioxa-10,27-Diazapentacyclo(28.2.2.2(14,17),1(19,23))Octatriconta-3,5,7(38),14,16,19,21,23(35),28,30,32,33,36-Tridecaene-11,12,25,26-Tetrone, 5,16,21,32,33-Pentabromo-4,20-Dihydroxy-, 12,15-Bis(D-Methyloxime), (E,E,?)- |
|
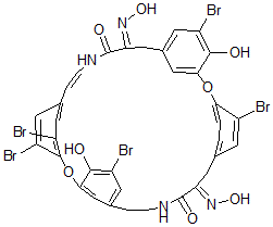
| 分子结构 |
 |
| 分子式 |
C34H25Br5N4O8 |
| 分子量 |
1017.11 |
| CAS 登录号 |
146345-73-5 |
| 分子行输入简码 SMILES |
O=C3N\C=C/C5=CC(=C(OC1=CC(=CC(=C1O)Br)CCNC(=O)C(=N/O)/CC4=CC=C(OC2=CC(=CC(=C2O)Br)C\C3=N/O)C(=C4)Br)C(=C5)Br)Br |
| 国际化学标识码 InChI |
1S/C34H25Br5N4O8/c35-20-7-16-1-2-27(20)50-28-15-19(11-22(37)30(28)44)13-26(43-49)34(47)40-5-3-17-9-23(38)32(24(39)10-17)51-29-14-18(8-21(36)31(29)45)4-6-41-33(46)25(12-16)42-48/h1-3,5,7-11,14-15,44-45,48-49H,4,6,12-13H2,(H,40,47)(H,41,46)/b5-3-,42-25+,43-26+ |
| 国际化学标识检索码 InChIKey |
HXWATZFIMWEHEG-YUALJMAISA-N |
|