Online Database of Chemicals from Around the World

腺苷钴啉醇酰胺甲基磷酸酯
[CAS# 147736-07-0]

供应商
CAS#: 147736-07-0
产品: 腺苷钴啉醇酰胺甲基磷酸酯
暂时没有厂家供应该产品。
基本信息
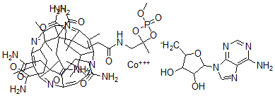
产品名称 腺苷钴啉醇酰胺甲基磷酸酯
英文名 Adenosylcobinamide Methyl Phosphate
别名 Adocbi-Pme; Cobinamide, Co-(5'-Deoxyadenosin-5'-Yl)-, Methyl Hydrogen Phosphate (Ester), Inner Salt; Cobinamide, Co-(5'-Deoxyadenosine-5') Deriv, Methyl Hydrogen Phosphate (Ester), Inner Salt
分子结构 CAS 登录号:147736-07-0, 腺苷钴啉醇酰胺甲基磷酸酯
分子式 C59H85CoN16O14P
分子量 1332.33
CAS 登录号 147736-07-0
分子行输入简码 SMILES [Co+3].[P]1(OC(O1)(CNC(=O)CCC2(C(C4N=C2C(=C3N=C(C(C3CCC(=O)N)(C)C)C=C6N=C(C(=C5[N-]C4(C(C5CCC(=O)N)(CC(=O)N)C)C)C)C(C6CCC(=O)N)(CC(=O)N)C)C)CC(=O)N)C)C)(OC)=O.[CH2-]C9OC([N]8C7=NC=NC(=C7N=C8)N)C(O)C9O
国际化学标识码 InChI 1S/C49H74N11O11P.C10H12N5O3.Co/c1-24-39-27(12-15-33(51)62)44(3,4)31(58-39)20-30-26(11-14-32(50)61)46(6,21-36(54)65)42(57-30)25(2)40-28(13-16-34(52)63)47(7,22-37(55)66)49(9,60-40)43-29(19-35(53)64)45(5,41(24)59-43)18-17-38(67)56-23-48(8)70-72(68,69-10)71-48;1-4-6(16)7(17)10(18-4)15-3-14-5-8(11)12-2-13-9(5)15;/h20,26-29,43H,11-19,21-23H2,1-10H3,(H14,50,51,52,53,54,55,56,57,58,59,60,61,62,63,64,65,66,67);2-4,6-7,10,16-17H,1H2,(H2,11,12,13);/q;-1;+3/p-1
国际化学标识检索码 InChIKey CGSLOOBHAHVNGB-UHFFFAOYSA-M
市场分析报告
请浏览腺苷钴啉醇酰胺甲基磷酸酯市场分析报告总目录
相关产品
诺美沙朵  [(3S,6S)-6-二甲基氨基-4,4-二苯基-...  (2S-反式)-3-(3-((2-氨基乙基)氨基)...  氨基甲酸2,2-二氯-3-(4-氯苯基)-3-羟基...  5'-(2-羟基-5-氧代-2H-呋喃-3-基)-...  5'-(5-羟基-2-氧代-5H-呋喃-3-基)-...  5,6-二氢-2H-吡喃-3-甲醇  2-[(4-甲基苯基)硫代]乙酰肼  (4R,5S,6R,7R)-4-[(2S,3R,4...  10-[3-(4-甲基哌嗪-1-基)丙基]-10H...  甲基乙亚氨酸酯盐酸盐  25,26,27,28-四丙氧基杯[4]芳烃  2-(苯甲酰氧基)乙基甲基丙烯酸酯  2-亚氨基-3-甲基苯并噻唑  (2E)-3-(5-甲基-2-呋喃基)丙烯酸