Online Database of Chemicals from Around the World

3-甲酰氨基-2-羟基-N-[7-羟基-2,6-二甲基-8-(3-甲基丁基)-4,9-二氧代-1,5-二氧杂环壬烷-3-基]苯甲酰胺
[CAS# 148163-08-0]

供应商
CAS#: 148163-08-0
产品: 3-甲酰氨基-2-羟基-N-[7-羟基-2,6-二甲基-8-(3-甲基丁基)-4,9-二氧代-1,5-二氧杂环壬烷-3-基]苯甲酰胺
暂时没有厂家供应该产品。
基本信息
产品名称 3-甲酰氨基-2-羟基-N-[7-羟基-2,6-二甲基-8-(3-甲基丁基)-4,9-二氧代-1,5-二氧杂环壬烷-3-基]苯甲酰胺
英文名 3-Formamido-2-Hydroxy-N-[7-Hydroxy-2,6-Dimethyl-8-(3-Methylbutyl)-4,9-Dioxo-1,5-Dioxonan-3-Yl]Benzamide
别名 3-Formamido-2-Hydroxy-N-(7-Hydroxy-8-Isopentyl-2,6-Dimethyl-4,9-Dioxo-1,5-Dioxonan-3-Yl)Benzamide; 3-Formamido-2-Hydroxy-N-(8-Hydroxy-7-Isoamyl-2,6-Diketo-4,9-Dimethyl-1,5-Dioxonan-3-Yl)Benzamide; Benzamide, 3-(Formylamino)-2-Hydroxy-N-(7-Hydroxy-2,6-Dimethyl-8-(3-Methylbutyl)-4,9-Dioxo-1,5-Dioxonan-3-Yl)-
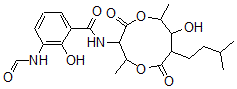
分子结构 CAS 登录号:148163-08-0, 3-甲酰氨基-2-羟基-N-[7-羟基-2,6-二甲基-8-(3-甲基丁基)-4,9-二氧代-1,5-二氧杂环壬烷-3-基]苯甲酰胺
分子式 C22H30N2O8
分子量 450.49
CAS 登录号 148163-08-0
分子行输入简码 SMILES C2=C(C(NC1C(OC(C(O)C(C(OC1C)=O)CCC(C)C)C)=O)=O)C(=C(NC=O)C=C2)O
国际化学标识码 InChI 1S/C22H30N2O8/c1-11(2)8-9-15-18(26)13(4)32-22(30)17(12(3)31-21(15)29)24-20(28)14-6-5-7-16(19(14)27)23-10-25/h5-7,10-13,15,17-18,26-27H,8-9H2,1-4H3,(H,23,25)(H,24,28)
国际化学标识检索码 InChIKey KJGZFCSJCWHCFC-UHFFFAOYSA-N
物理化学性质
密度 1.305g/cm3 (计算值)
沸点 744.151°C at 760 mmHg (计算值)
闪点 403.848°C (计算值)
市场分析报告
请浏览3-甲酰氨基-2-羟基-N-[7-羟基-2,6-二甲基-8-(3-甲基丁基)-4,9-二氧代-1,5-二氧杂环壬烷-3-基]苯甲酰胺市场分析报告总目录
相关产品
(2S)-6-氨基-N-[(2S)-2-[[(2R...  短杆菌酪肽A  地西酰胺  海绵抑制素1  1-[4-(6-氨基嘌呤-9-基)-1-环戊-2-...  N-(N-(N-(N-(N-(叔丁基氧羰基)-D-...  (-)-N-(alpha-氰基-4-羟基-3-甲氧...  (-)-N-(1-氰基-1-香草基乙基)乙酰胺  2-(4-氟苯基)吡喃并[3,2-b]吡啶-4-酮  2-(3-羟基-丙基)-苯酚  3-羟基-3-甲基-2-苯基戊酸  螺[5.5]十一烷-2,4-二酮  3,4-二甲基-1-戊炔-3-醇  1-[2-[二[2-[(2-甲基-2-硫基丙基)氨...  (6R,7R)-7-[(2-氨基-2-苯基乙酰基)...