基本信息
| 产品名称 |
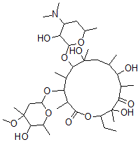
6-(4-二甲基氨基-3-羟基-6-甲基四氢吡喃-2-基)氧基-14-乙基-7,10,13-三羟基-4-(5-羟基-4-甲氧基-4,6-二甲基四氢吡喃-2-基)氧基-3,5,7,9,11,13-六甲基-1-氧杂环十四烷-2,12-二酮 |
| 英文名 |
6-(4-Dimethylamino-3-Hydroxy-6-Methyloxan-2-Yl)Oxy-14-Ethyl-7,10,13-Trihydroxy-4-(5-Hydroxy-4-Methoxy-4,6-Dimethyloxan-2-Yl)Oxy-3,5,7,9,11,13-Hexamethyl-1-Oxacyclotetradecane-2,12-Dione |
| 别名 |
6-(4-Dimethylamino-3-Hydroxy-6-Methyl-Tetrahydropyran-2-Yl)Oxy-14-Ethyl-7,10,13-Trihydroxy-4-(5-Hydroxy-4-Methoxy-4,6-Dimethyl-Tetrahydropyran-2-Yl)Oxy-3,5,7,9,11,13-Hexamethyl-1-Oxacyclotetradecane-2,12-Dione; 6-[(4-Dimethylamino-3-Hydroxy-6-Methyl-2-Tetrahydropyranyl)Oxy]-14-Ethyl-7,10,13-Trihydroxy-4-[(5-Hydroxy-4-Methoxy-4,6-Dimethyl-2-Tetrahydropyranyl)Oxy]-3,5,7,9,11,13-Hexamethyl-1-Oxacyclotetradecane-2,12-Dione; 6-(4-Dimethylamino-3-Hydroxy-6-Methyl-Tetrahydropyran-2-Yl)Oxy-14-Ethyl-7,10,13-Trihydroxy-4-(5-Hydroxy-4-Methoxy-4,6-Dimethyl-Tetrahydropyran-2-Yl)Oxy-3,5,7,9,11,13-Hexamethyl-1-Oxacyclotetradecane-2,12-Quinone |
|
| 分子结构 |
 |
| 分子式 |
C37H67NO13 |
| 分子量 |
733.94 |
| CAS 登录号 |
150369-31-6 |
| 分子行输入简码 SMILES |
C(C3OC(=O)C(C(OC1OC(C(O)C(OC)(C1)C)C)C(C(OC2OC(CC(N(C)C)C2O)C)C(O)(CC(C(O)C(C(=O)C3(O)C)C)C)C)C)C)C |
| 国际化学标识码 InChI |
1S/C37H67NO13/c1-14-25-37(10,45)30(41)20(4)27(39)18(2)16-35(8,44)32(51-34-28(40)24(38(11)12)15-19(3)47-34)21(5)29(22(6)33(43)49-25)50-26-17-36(9,46-13)31(42)23(7)48-26/h18-29,31-32,34,39-40,42,44-45H,14-17H2,1-13H3 |
| 国际化学标识检索码 InChIKey |
UMFTUCNHWTWATN-UHFFFAOYSA-N |
|