基本信息
| 产品名称 |
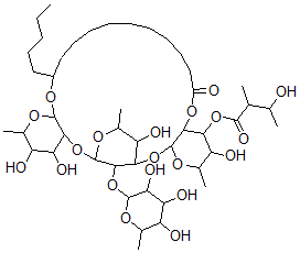
11-((O-6-脱氧-3-O-(3-羟基-2-甲基-1-氧代丁基)-beta-D-吡喃葡萄糖基-(1-3)-O-(6-脱氧-alpha-L-甘露糖基-(1-2))-O-6-脱氧-beta-D-吡喃葡萄糖基-(1-2)-6-脱氧-beta-D-吡喃葡萄糖基)氧基)-十六烷酸分子内 1,2'''-酯 |
| 英文名 |
11-((O-6-Deoxy-3-O-(3-Hydroxy-2-Methyl-1-Oxobutyl)-beta-D-Glucopyranosyl-(1-3)-O-(6-Deoxy-alpha-L-Mannopyranosyl-(1-2))-O-6-Deoxy-beta-D-Glucopyranosyl-(1-2)-6-Deoxy-beta-D-Glucopyranosyl)Oxy)-Hexadecanoic Acid Intramol 1,2'''-Ester |
| 别名 |
Calonyctin A-2D; Dc-2D |
|
| 分子结构 |
 |
| 分子式 |
C45H78O20 |
| 分子量 |
939.10 |
| CAS 登录号 |
151864-96-9 |
| 分子行输入简码 SMILES |
C(C2OC5C(OC3C(C(OC1C(C(OC(C(C(O)C)C)=O)C(C(O1)C)O)OC(=O)CCCCCCCCC2)C(C(O3)C)O)OC4C(C(O)C(C(O4)C)O)O)C(C(C(C)O5)O)O)CCCC |
| 国际化学标识码 InChI |
1S/C45H78O20/c1-8-9-15-18-27-19-16-13-11-10-12-14-17-20-28(47)61-39-36(62-41(55)21(2)22(3)46)31(50)25(6)58-44(39)63-37-32(51)26(7)59-45(64-38-34(53)30(49)24(5)57-43(38)60-27)40(37)65-42-35(54)33(52)29(48)23(4)56-42/h21-27,29-40,42-46,48-54H,8-20H2,1-7H3 |
| 国际化学标识检索码 InChIKey |
DRAKJGOJAYUMIJ-UHFFFAOYSA-N |
|