基本信息
| 产品名称 |
锝-99 6-(4-硫脲苄基)-3,3,9,9-四甲基-4,8-二氮杂十一烷-苯丙氨酸(1)-奥曲肽 |
| 英文名 |
Technetium-99 6-(4-thioureabenzyl)-3,3,9,9-tetramethyl-4,8-diazaundecane-phenylalanine(1)-octreotide |
| 别名 |
[2-[[4-[[2-[[10-(4-Aminobutyl)-16-Benzyl-7-(1-Hydroxyethyl)-4-[[2-Hydroxy-1-(Hydroxymethyl)Propyl]Carbamoyl]-13-(1H-Indol-3-Ylmethyl)-6,9,12,15,18-Pentaoxo-1,2-Dithia-5,8,11,14,17-Pentazacycloicos-19-Yl]Amino]-1-Benzyl-2-Oxo-Ethyl]Carbamothioylamino]Phenyl]Methyl]-3-[(2E)-1,1-Dimethyl-2-Oxidoimino-Propyl]Azanidyl-Propyl]-[(2E)-2-Hydroxyimino-1,1-Dimethyl-Propyl]Azanide; Oxotechnetium; [2-[[4-[[[[2-[[10-(4-Aminobutyl)-16-Benzyl-7-(1-Hydroxyethyl)-4-[[[2-Hydroxy-1-(Hydroxymethyl)Propyl]Amino]-Oxomethyl]-13-(1H-Indol-3-Ylmethyl)-6,9,12,15,18-Pentaoxo-1,2-Dithia-5,8,11,14,17-Pentazacycloicos-19-Yl]Amino]-1-Benzyl-2-Oxoethyl]Amino]-Thioxomethyl]Amino]Phenyl]Methyl]-3-[(2E)-1,1-Dimethyl-2-Oxidoiminopropyl]Azanidylpropyl]-[(2E)-2-Hydroxyimino-1,1-Dimethylpropyl]Azanide; Oxotechnetium; [2-[4-[[2-[[10-(4-Aminobutyl)-16-Benzyl-7-(1-Hydroxyethyl)-4-[(2-Hydroxy-1-Methylol-Propyl)Carbamoyl]-13-(1H-Indol-3-Ylmethyl)-6,9,12,15,18-Pentaketo-1,2-Dithia-5,8,11,14,17-Pentazacycloicos-19-Yl]Amino]-1-Benzyl-2-Keto-Ethyl]Thiocarbamoylamino]Benzyl]-3-[(2E)-1,1-Dimethyl-2-Oxidoimino-Propyl]Azanidyl-Propyl]-[(2E)-2-Hydroximino-1,1-Dimethyl-Propyl]Azanide; Ketotechnetium |
|
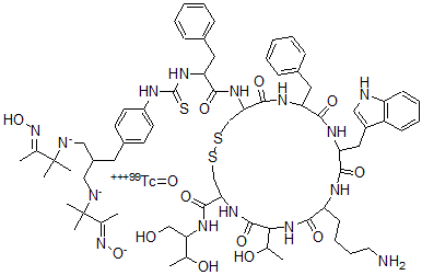
| 分子结构 |
 |
| 分子式 |
C70H96N15O13S3Tc |
| 分子量 |
1550.71 |
| CAS 登录号 |
151956-25-1 |
| 分子行输入简码 SMILES |
[99Tc+3]=O.[N-](C(C(=N[O-])C)(C)C)CC(CC6=CC=C(NC(=S)NC(C(=O)NC3C(=O)NC(C(=O)NC(CC1=C[NH]C2=C1C=CC=C2)C(=O)NC(C(=O)NC(C(=O)NC(C(=O)NC(C(O)C)CO)CSSC3)C(O)C)CCCCN)CC4=CC=CC=C4)CC5=CC=CC=C5)C=C6)C[N-]C(C(=N/O)/C)(C)C |
| 国际化学标识码 InChI |
1S/C70H97N15O12S3.O.Tc/c1-41(87)57(38-86)79-66(94)59-40-100-99-39-58(80-63(91)55(33-46-21-13-10-14-22-46)82-68(98)75-50-28-26-47(27-29-50)31-48(35-73-69(5,6)43(3)84-96)36-74-70(7,8)44(4)85-97)65(93)77-54(32-45-19-11-9-12-20-45)62(90)78-56(34-49-37-72-52-24-16-15-23-51(49)52)64(92)76-53(25-17-18-30-71)61(89)83-60(42(2)88)67(95)81-59;;/h9-16,19-24,26-29,37,41-42,48,53-60,72,86-88,96-97H,17-18,25,30-36,38-40,71H2,1-8H3,(H,76,92)(H,77,93)(H,78,90)(H,79,94)(H,80,91)(H,81,95)(H,83,89)(H2,75,82,98);;/q-2;;+3/p-1/b84-43+,85-44?;;/i;;1+1 |
| 国际化学标识检索码 InChIKey |
GTMBGRSFXIOYDK-QQMWLBKYSA-M |
|