Online Database of Chemicals from Around the World

Arthrofactin
[CAS# 152406-36-5]

供应商
CAS#: 152406-36-5
产品: Arthrofactin
暂时没有厂家供应该产品。
基本信息
产品名称 Arthrofactin
英文名 Arthrofactin
别名 2-[(3S,6S,9S,12R,15S,18R,21R,24R,30R,33R)-30-(Carboxymethyl)-37-Heptyl-27-(1-Hydroxyethyl)-12,18-Bis(Hydroxymethyl)-15,21,24,33-Tetraisobutyl-2,5,8,11,14,17,20,23,26,29,32,35-Dodecaoxo-6,9-Disec-Butyl-1-Oxa-4,7,10,13,16,19,22,25,28,31,34-Undecazacycloheptatriacont-3-Yl]Acetic Acid; 2-[(3S,6S,9S,12R,15S,18R,21R,24R,30R,33R)-30-(Carboxymethyl)-37-Heptyl-27-(1-Hydroxyethyl)-15,21,24,33-Tetraisobutyl-2,5,8,11,14,17,20,23,26,29,32,35-Dodecaketo-12,18-Dimethylol-6,9-Disec-Butyl-1-Oxa-4,7,10,13,16,19,22,25,28,31,34-Undecazacycloheptatriacont-3-Yl]Acetic Acid; 2-[(3S,6S,9S,12R,15S,18R,21R,24R,30R,33R)-6,9-Bis[(2S)-Butan-2-Yl]-30-(Carboxymethyl)-37-Heptyl-27-(1-Hydroxyethyl)-12,18-Bis(Hydroxymethyl)-15,21,24,33-Tetrakis(2-Methylpropyl)-2,5,8,11,14,17,20,23,26,29,32,35-Dodecaoxo-1-Oxa-4,7,10,13,16,19,22,25,28,31,34-Undecazacycloheptatriacont-3-Yl]Ethanoic Acid
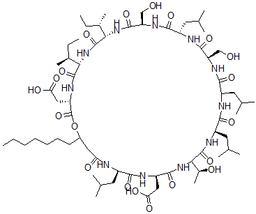
分子结构 CAS 登录号:152406-36-5, Arthrofactin
分子式 C64H111N11O20
分子量 1354.64
CAS 登录号 152406-36-5
分子行输入简码 SMILES [C@H]1(NC(=O)[C@@H](NC(=O)[C@H](NC(=O)[C@@H](NC(=O)[C@H](NC(=O)[C@H](NC(=O)[C@H](NC(=O)C(NC(=O)[C@H](NC(=O)[C@H](NC(=O)CC(OC(=O)[C@@H](NC1=O)CC(=O)O)CCCCCCC)CC(C)C)CC(=O)O)[C@@H](O)C)CC(C)C)CC(C)C)CO)CC(C)C)CO)[C@H](CC)C)[C@H](CC)C
国际化学标识码 InChI 1S/C64H111N11O20/c1-15-18-19-20-21-22-39-27-48(79)65-40(23-32(4)5)54(84)68-44(28-49(80)81)58(88)75-53(38(14)78)63(93)69-43(26-35(10)11)55(85)66-41(24-33(6)7)56(86)71-46(30-76)59(89)67-42(25-34(8)9)57(87)72-47(31-77)60(90)73-52(37(13)17-3)62(92)74-51(36(12)16-2)61(91)70-45(29-50(82)83)64(94)95-39/h32-47,51-53,76-78H,15-31H2,1-14H3,(H,65,79)(H,66,85)(H,67,89)(H,68,84)(H,69,93)(H,70,91)(H,71,86)(H,72,87)(H,73,90)(H,74,92)(H,75,88)(H,80,81)(H,82,83)/t36-,37-,38-,39?,40+,41+,42-,43+,44+,45-,46+,47+,51-,52-,53?/m0/s1
国际化学标识检索码 InChIKey HXMCERBOSXQYRH-PUWFPHIESA-N
市场分析报告
请浏览Arthrofactin市场分析报告总目录
相关产品
续断皂苷B  续断皂苷C  [4-(氟甲基)苯基]磷酸二氢酯  Sieboldianoside B  11-[2-[6-[甲基-[8-[甲基-[6-[[...  [5-[2-氨基-8-[(3,8-二甲基-3aH-...  五氨合碳酸钴(III)硝酸盐半水合物  湖北皂素D  湖北皂素E  6-[(11-羧基-14b-甲酰基-4,4,6a,...  (2S,3S,4S,5S,6R)-2-(5-甲基-...  2-(4-乙氧基苯基)-3a,4,7,7a-四氢-...  3-乙酰氨基-1-(4-甲基苯基)硫脲  2-乙酰氨基-6-氨基己酸  N-[(2S,3S,4R,5S,6R)-4,6-二...