Online Database of Chemicals from Around the World

(1E)-1-癸亚基-2-(2,4-二硝基苯基)肼
[CAS# 1527-95-3]

供应商
AccuStandard Inc. 美国 询价快递  
+1 (203) 786-5290
orders@accustandard.com
化学品生产商(1986 年起)
Chem Service, Inc. 美国 询价快递  
+1 (610) 692-3026
info@chemservice.com
化学品生产商(1962 年起)
基本信息
产品分类 分析化学 >> 标准品 >> 有机污染物标样
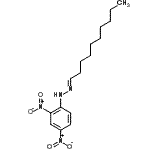
产品名称 (1E)-1-癸亚基-2-(2,4-二硝基苯基)肼
英文名 (1E)-1-Decylidene-2-(2,4-Dinitrophenyl)Hydrazine
别名 2,4-dinitrophenylhydrazone decanal; DECANAL 2,4-DINITROPHENYLHYDRAZONE
分子结构 CAS 登录号:1527-95-3, (1E)-1-癸亚基-2-(2,4-二硝基苯基)肼
分子式 C16H24N4O4
分子量 336.39
CAS 登录号 1527-95-3
分子行输入简码 SMILES [O-][N+](=O)c1ccc(N/N=C/CCCCCCCCC)c(c1)[N+]([O-])=O
国际化学标识码 InChI 1S/C16H24N4O4/c1-2-3-4-5-6-7-8-9-12-17-18-15-11-10-14(19(21)22)13-16(15)20(23)24/h10-13,18H,2-9H2,1H3/b17-12+
国际化学标识检索码 InChIKey WVTWCMFTBSTXFK-SFQUDFHCSA-N
物理化学性质
密度 1.197g/cm3 (计算值)
沸点 469.906°C at 760 mmHg (计算值)
闪点 237.991°C (计算值)
折射率 1.561 (计算值)
安全数据
SDS 化学品安全技术说明书参考文本
市场分析报告
请浏览(1E)-1-癸亚基-2-(2,4-二硝基苯基)肼市场分析报告总目录
相关产品
(1E)-1-[(2E)-2-丁烯-1-亚基]-2...  5-乙炔基烟腈  5-(二甲基氨基)烟腈  5-(乙基氨基)烟腈  3-(2-甲氧基乙氧基)苯甲酸  3-(2-甲氧基乙氧基)苯甲酰氯  (3R,5R)-3,5-二甲基-4-吗啉胺  (3R,5S)-3,5-二甲基-4-吗啉胺  乙基4-氯-1-哌啶羧酸酯  甲基6-氨基-3-羟基-2-吡啶羧酸酯  甲基6-乙酰氨基-3-羟基-2-吡啶羧酸酯  乙基4-氰基-2-氧代丁酸酯  1-O-(2-{[3-(羟基甲基)-2-甲基苯基]...  铵三氟(羟基)硼酸酯(1-)  2-乙酰基-5-甲基-1,2-二氢-3H-吲唑-3...