Online Database of Chemicals from Around the World

Amythiamycin A
[CAS# 152741-89-4]

供应商
CAS#: 152741-89-4
产品: Amythiamycin A
暂时没有厂家供应该产品。
基本信息
产品名称 Amythiamycin A
英文名 Amythiamycin A
别名 Nci60_027665; Amythiamicin A; Nsc677423
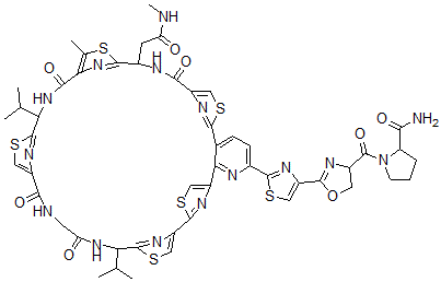
分子结构 CAS 登录号:152741-89-4, Amythiamycin A
分子式 C50H51N15O8S6
分子量 1182.41
CAS 登录号 152741-89-4
分子行输入简码 SMILES N1=C6SC=C1C2=NC(=CC=C2C3=NC(=CS3)C(=O)NC(C4=NC(=C(S4)C)C(=O)NC(C5=NC(=CS5)C(=O)NCC(=O)NC(C7=NC6=CS7)C(C)C)C(C)C)CC(=O)NC)C8=NC(=CS8)C%10=NC(C(=O)N9C(CCC9)C(=O)N)CO%10
国际化学标识码 InChI 1S/C50H51N15O8S6/c1-20(2)35-48-61-31(19-78-48)46-57-27(15-75-46)38-23(9-10-24(54-38)45-60-30(18-76-45)43-56-26(14-73-43)50(72)65-11-7-8-32(65)39(51)68)44-58-29(17-74-44)41(70)55-25(12-33(66)52-6)47-64-37(22(5)79-47)42(71)63-36(21(3)4)49-59-28(16-77-49)40(69)53-13-34(67)62-35/h9-10,15-21,25-26,32,35-36H,7-8,11-14H2,1-6H3,(H2,51,68)(H,52,66)(H,53,69)(H,55,70)(H,62,67)(H,63,71)
国际化学标识检索码 InChIKey BAGBLRBLZUISAJ-UHFFFAOYSA-N
物理化学性质
密度 1.724g/cm3 (计算值)
市场分析报告
请浏览Amythiamycin A市场分析报告总目录
相关产品
铁(III)-乙二胺四乙酸  草酸铬钾盐  2,2,3,3,4,4,4-七氟丁基2-甲基丙-2...  3-羟基-1-(4-甲基-9H-吡啶并[3,4-b...  2-羟基-1-(4-甲基-9H-吡啶并[3,4-b...  (2S)-2,3-二羟基-1-(4-甲基-9H-吡...  1-(4-甲基-9H-吡啶并[3,4-b]吲哚-1...  3-羟基-1-(4-甲基-9H-吡啶并[3,4-b...  铬三乙二胺  1-[(1R,2S,3S,5S)-8-甲基-3-(...  去-N-乙酰基溶菌酶GM1  N,N-二甲基-4-苯基-1,2,3,4-四氢萘-...  二铯四溴铂酸盐  二铷四溴铂酸盐  六氨合钴(III)三碳酸钴酸(III)