Online Database of Chemicals from Around the World

12-丁烷-2-基-15-(2-羟基丙-2-基)-4,10,16,22-四甲基-18-(2-甲基丙基)-24-(2-甲基亚磺酰乙基)-3,6-二(苯基甲基)-9,21-二(丙-2-基)-13-氧杂-1,4,7,10,16,19,22,25-八氮杂双环[25.3.0]三十烷-2,5,8,11,14,17,20,23,26-九酮
[CAS# 153954-71-3]

供应商
CAS#: 153954-71-3
产品: 12-丁烷-2-基-15-(2-羟基丙-2-基)-4,10,16,22-四甲基-18-(2-甲基丙基)-24-(2-甲基亚磺酰乙基)-3,6-二(苯基甲基)-9,21-二(丙-2-基)-13-氧杂-1,4,7,10,16,19,22,25-八氮杂双环[25.3.0]三十烷-2,5,8,11,14,17,20,23,26-九酮
暂时没有厂家供应该产品。
基本信息
产品名称 12-丁烷-2-基-15-(2-羟基丙-2-基)-4,10,16,22-四甲基-18-(2-甲基丙基)-24-(2-甲基亚磺酰乙基)-3,6-二(苯基甲基)-9,21-二(丙-2-基)-13-氧杂-1,4,7,10,16,19,22,25-八氮杂双环[25.3.0]三十烷-2,5,8,11,14,17,20,23,26-九酮
英文名 12-Butan-2-Yl-15-(2-Hydroxypropan-2-Yl)-4,10,16,22-Tetramethyl-18-(2-Methylpropyl)-24-(2-Methylsulfinylethyl)-3,6-Bis(Phenylmethyl)-9,21-Di(Propan-2-Yl)-13-Oxa-1,4,7,10,16,19,22,25-Octazabicyclo[25.3.0]Triacontane-2,5,8,11,14,17,20,23,26-Nonone
别名 15-(1-Hydroxy-1-Methyl-Ethyl)-18-Isobutyl-9,21-Diisopropyl-4,10,16,22-Tetramethyl-24-(2-Methylsulfinylethyl)-3,6-Bis(Phenylmethyl)-12-Sec-Butyl-13-Oxa-1,4,7,10,16,19,22,25-Octazabicyclo[25.3.0]Triacontane-2,5,8,11,14,17,20,23,26-Nonone; 15-(1-Hydroxy-1-Methylethyl)-18-Isobutyl-9,21-Diisopropyl-4,10,16,22-Tetramethyl-24-(2-Methylsulfinylethyl)-3,6-Bis(Phenylmethyl)-12-Sec-Butyl-13-Oxa-1,4,7,10,16,19,22,25-Octazabicyclo[25.3.0]Triacontane-2,5,8,11,14,17,20,23,26-Nonone; 3,6-Bis(Benzyl)-15-(1-Hydroxy-1-Methyl-Ethyl)-18-Isobutyl-9,21-Diisopropyl-4,10,16,22-Tetramethyl-24-(2-Methylsulfinylethyl)-12-Sec-Butyl-13-Oxa-1,4,7,10,16,19,22,25-Octazabicyclo[25.3.0]Triacontane-2,5,8,11,14,17,20,23,26-Nonone
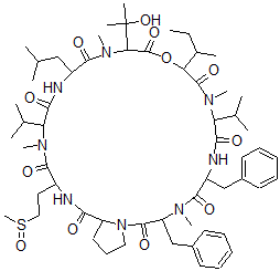
分子结构 CAS 登录号:153954-71-3, 12-丁烷-2-基-15-(2-羟基丙-2-基)-4,10,16,22-四甲基-18-(2-甲基丙基)-24-(2-甲基亚磺酰乙基)-3,6-二(苯基甲基)-9,21-二(丙-2-基)-13-氧杂-1,4,7,10,16,19,22,25-八氮杂双环[25.3.0]三十烷-2,5,8,11,14,17,20,23,26-九酮
分子式 C59H90N8O12S
分子量 1135.47
CAS 登录号 153954-71-3
分子行输入简码 SMILES C4=C(CC1N(C(=O)C(NC(=O)C(N(C(=O)C(OC(=O)C(N(C(=O)C(NC(=O)C(N(C(=O)C(NC(=O)C2N(C1=O)CCC2)CC[S](=O)C)C)C(C)C)CC(C)C)C)C(O)(C)C)C(CC)C)C)C(C)C)CC3=CC=CC=C3)C)C=CC=C4
国际化学标识码 InChI 1S/C59H90N8O12S/c1-16-38(8)48-57(75)65(13)47(37(6)7)52(70)62-43(33-39-24-19-17-20-25-39)54(72)63(11)45(34-40-26-21-18-22-27-40)56(74)67-30-23-28-44(67)50(68)60-41(29-31-80(15)78)53(71)64(12)46(36(4)5)51(69)61-42(32-35(2)3)55(73)66(14)49(58(76)79-48)59(9,10)77/h17-22,24-27,35-38,41-49,77H,16,23,28-34H2,1-15H3,(H,60,68)(H,61,69)(H,62,70)
国际化学标识检索码 InChIKey LWWLFVPYKYLVRJ-UHFFFAOYSA-N
物理化学性质
密度 1.243g/cm3 (计算值)
沸点 1297.186°C at 760 mmHg (计算值)
闪点 738.311°C (计算值)
市场分析报告
请浏览12-丁烷-2-基-15-(2-羟基丙-2-基)-4,10,16,22-四甲基-18-(2-甲基丙基)-24-(2-甲基亚磺酰乙基)-3,6-二(苯基甲基)-9,21-二(丙-2-基)-13-氧杂-1,4,7,10,16,19,22,25-八氮杂双环[25.3.0]三十烷-2,5,8,11,14,17,20,23,26-九酮市场分析报告总目录
相关产品
12,24-二(丁烷-2-基)-3-[(4-羟基苯...  24-丁烷-2-基-12-(4-羟基丁烷-2-基)...  24-丁烷-2-基-12-(1-羟基丁烷-2-基)...  24-丁烷-2-基-12-(3-羟基丁烷-2-基)...  1,4-二氢-2,6-二甲基-4-苄基吡啶-3,5...  甲基(四氢呋喃-2-基甲基)砜  3,5-二氯-2-碘-苯甲酸  (E)-3-(3-羟基苯基)-1-(3-甲基苯基)...  N-甲基-3,4-二羟基安非他命盐酸盐  3-[1-[[3-(环己基甲基-羟基磷酰)-2-羟...  3-异丙氧基-2-丁烯酸乙酯  2,3-二羟基-6H-苯并呋喃并[3,2-c][1...  2,8-二羟基-1,6-二甲氧基氧杂蒽酮  4-乙氧基戊-3-烯-2-酮  2-(3,4-二甲氧基苯基)-N-乙基-N-甲基-...