Online Database of Chemicals from Around the World

10-O-(3-(4-叠氮基苯甲酰胺基)丙酰基)利阿诺定
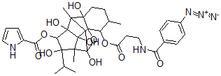
[CAS# 154505-02-9]

供应商
CAS#: 154505-02-9
产品: 10-O-(3-(4-叠氮基苯甲酰胺基)丙酰基)利阿诺定
暂时没有厂家供应该产品。
基本信息
产品名称 10-O-(3-(4-叠氮基苯甲酰胺基)丙酰基)利阿诺定
英文名 10-O-(3-(4-Azidobenzamido)propionyl)ryanodine
别名 10-O-(3-(4-Azidobenzamido)Propionyl)Ryanodine
分子结构 CAS 登录号:154505-02-9, 10-O-(3-(4-叠氮基苯甲酰胺基)丙酰基)利阿诺定
分子式 C35H43N5O11
分子量 709.75
CAS 登录号 154505-02-9
分子行输入简码 SMILES [N+](=NC7=CC=C(C(=O)NCCC(OC3C12OC4(O)C6(C1(O)C(O)(C(C2(O)CCC3C)(C4)C)C(OC(=O)C5=CC=C[NH]5)C6(O)C(C)C)C)=O)C=C7)=[N-]
国际化学标识码 InChI 1S/C35H43N5O11/c1-18(2)32(46)27(50-26(43)22-7-6-15-37-22)33(47)28(4)17-31(45)29(32,5)35(33,48)34(51-31)24(19(3)12-14-30(28,34)44)49-23(41)13-16-38-25(42)20-8-10-21(11-9-20)39-40-36/h6-11,15,18-19,24,27,37,44-48H,12-14,16-17H2,1-5H3,(H,38,42)
国际化学标识检索码 InChIKey GLMBUFFXAIWBPC-UHFFFAOYSA-N
市场分析报告
请浏览10-O-(3-(4-叠氮基苯甲酰胺基)丙酰基)利阿诺定市场分析报告总目录
相关产品
1,3-二甲基-2-磷杂环戊烯1-氧化物  1H-喹啉-2,5,8-三酮  1,3-二甲基-2,5-二氢-1H-磷杂环戊二烯1...  2-[(2-甲基丙烷-2-基)氧羰基-丙-2-基氨...  alpha-[2-(二甲基氨基)-1,1-二甲基乙...  3-(二甲基氨基)-2,2-二甲基-1-苯基-1-...  茶单宁G  2,2'-磺酰基二(4-叔-辛基苯酚)  2,2'-偶氮二-2-脒基丙烷盐酸盐  4,5-环氧-1,1,2,3,3,4,5,5-八氟...  三氟(1,1,2,2,3,4,4-七氟丁-3-烯基...  7-氯-1-[4-[(4-氟苯基)甲硫基]苯基]-...  2-[1-[2-(4-叔丁基苯基)乙基]哌啶-4-...  碘酸盐  胞壁酸-6-磷酸酯