Online Database of Chemicals from Around the World

鸡防御素1alpha
[CAS# 156409-55-1]

供应商
CAS#: 156409-55-1
产品: 鸡防御素1alpha
暂时没有厂家供应该产品。
基本信息
产品名称 鸡防御素1alpha
英文名 Gallinacin 1alpha
别名 Gallinacin 1; Gallinacin 1Alpha; Chicken Heterophil Peptide Chp1
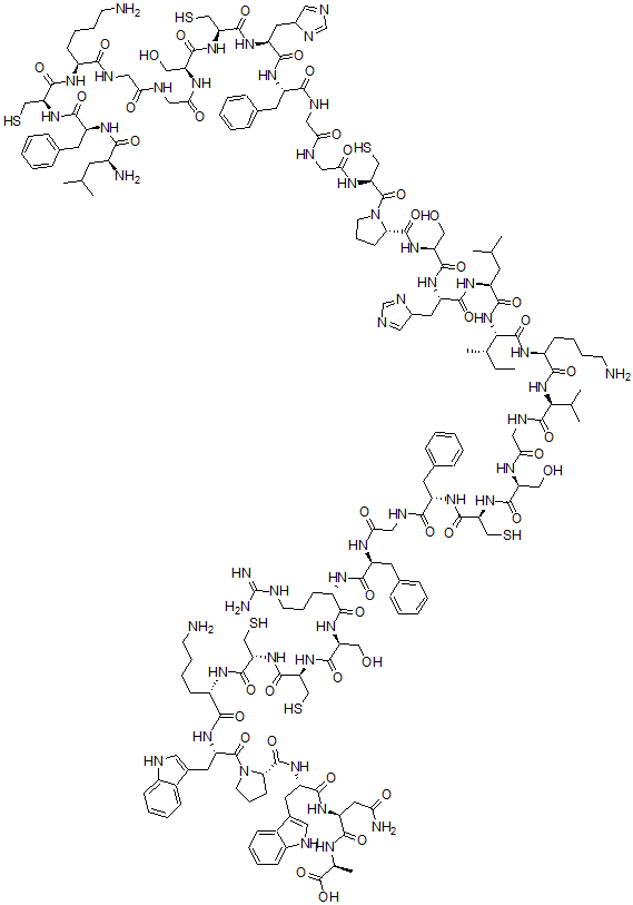
分子结构 CAS 登录号:156409-55-1, 鸡防御素1alpha
分子式 C176H255N49O42S6
分子量 3921.61
CAS 登录号 156409-55-1
分子行输入简码 SMILES [C@H](C(=O)O)(NC([C@@H](NC([C@@H](NC([C@H]1N(CCC1)C([C@@H](NC([C@@H](NC([C@@H](NC([C@@H](NC([C@@H](NC([C@@H](NC([C@@H](NC(CNC([C@@H](NC([C@@H](NC([C@@H](NC(CNC([C@@H](NC([C@@H](NC([C@@H](NC([C@@H](NC([C@@H](NC([C@@H](NC([C@H]2N(CCC2)C([C@@H](NC(CNC(CNC([C@@H](NC([C@@H](NC([C@@H](NC([C@@H](NC(CNC(CNC([C@@H](NC([C@H](CS)NC([C@@H](NC([C@@H](N)CC(C)C)=O)CC3=CC=CC=C3)=O)=O)CCCCN)=O)=O)=O)CO)=O)CS)=O)CC4C=NC=N4)=O)CC5=CC=CC=C5)=O)=O)=O)CS)=O)=O)CO)=O)CC6C=NC=N6)=O)CC(C)C)=O)[C@H](CC)C)=O)CCCCN)=O)C(C)C)=O)=O)CO)=O)CS)=O)CC7=CC=CC=C7)=O)=O)CC8=CC=CC=C8)=O)CCCNC(=N)N)=O)CO)=O)CS)=O)CS)=O)CCCCN)=O)CC9=C[NH]C%10=CC=CC=C9%10)=O)=O)CC%11=C[NH]C%12=CC=CC=C%11%12)=O)CC(=O)N)=O)C
国际化学标识码 InChI 1S/C176H255N49O42S6/c1-10-96(8)145(223-159(250)115(61-94(4)5)207-157(248)121(68-104-73-184-91-195-104)210-162(253)128(84-229)216-170(261)136-53-35-59-225(136)174(265)134(90-273)201-141(234)78-190-139(232)76-192-148(239)116(62-98-36-15-11-16-37-98)208-158(249)122(69-105-74-185-92-196-105)211-167(258)132(88-271)219-160(251)125(81-226)199-140(233)77-189-138(231)75-191-147(238)111(48-27-30-54-177)202-164(255)129(85-268)217-155(246)119(65-101-42-21-14-22-43-101)206-146(237)108(180)60-93(2)3)172(263)205-113(50-29-32-56-179)152(243)222-144(95(6)7)171(262)194-80-143(236)200-126(82-227)161(252)218-131(87-270)166(257)209-117(63-99-38-17-12-18-39-99)149(240)193-79-142(235)198-118(64-100-40-19-13-20-41-100)154(245)203-114(51-33-57-186-176(182)183)151(242)215-127(83-228)163(254)220-133(89-272)168(259)221-130(86-269)165(256)204-112(49-28-31-55-178)150(241)214-124(67-103-72-188-110-47-26-24-45-107(103)110)173(264)224-58-34-52-135(224)169(260)213-120(66-102-71-187-109-46-25-23-44-106(102)109)156(247)212-123(70-137(181)230)153(244)197-97(9)175(266)267/h11-26,36-47,71-74,91-97,104-105,108,111-136,144-145,187-188,226-229,268-273H,10,27-35,48-70,75-90,177-180H2,1-9H3,(H2,181,230)(H,189,231)(H,190,232)(H,191,238)(H,192,239)(H,193,240)(H,194,262)(H,197,244)(H,198,235)(H,199,233)(H,200,236)(H,201,234)(H,202,255)(H,203,245)(H,204,256)(H,205,263)(H,206,237)(H,207,248)(H,208,249)(H,209,257)(H,210,253)(H,211,258)(H,212,247)(H,213,260)(H,214,241)(H,215,242)(H,216,261)(H,217,246)(H,218,252)(H,219,251)(H,220,254)(H,221,259)(H,222,243)(H,223,250)(H,266,267)(H4,182,183,186)/t96-,97-,104?,105?,108-,111-,112-,113-,114-,115-,116-,117-,118-,119-,120-,121-,122-,123-,124-,125-,126-,127-,128-,129-,130-,131-,132-,133-,134-,135-,136-,144-,145-/m0/s1
国际化学标识检索码 InChIKey DHUDWKXJLYWMMO-GCLXVQITSA-N
市场分析报告
请浏览鸡防御素1alpha市场分析报告总目录
相关产品
(1R,2S,3R,4S)-3-乙酰氧基-11-偶...  5-乙烯基-4-(2,3,4,9-四氢-1H-吡啶...  Zizyphoiside E  6-乙氧基-2-甲基-4-喹啉醇  苯基(9-蒽基)甲酮  三甲基-1,6-己二异氰酸酯  4-苯基吡咯烷-3-羧酸甲酯  1-氨基-2-溴-4-O-甲苯氨基蒽醌  2-乙基己基二苯基亚磷酸酯  3-氨基甲基-3,5,5-三甲基环己烷-1-醇  1-氨基-2-溴-4-(苯基氨基)蒽醌  5-(苯甲酰基氨基)戊酸  苯甲酰基紫杉醇  3-[羟基-[[[2-(4-碘苯基)乙酰基]氨基]...  S-甲基-5'-甲硫基腺苷