Online Database of Chemicals from Around the World

奥林帕星
[CAS# 159445-62-2]

供应商
CAS#: 159445-62-2
产品: 奥林帕星
暂时没有厂家供应该产品。
基本信息
产品名称 奥林帕星
英文名 Orientiparcin
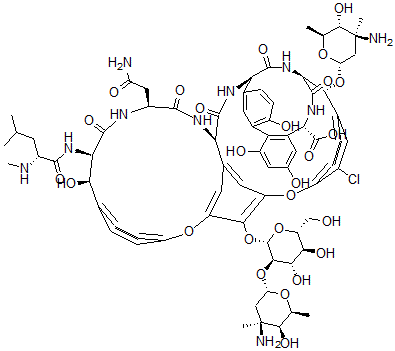
分子结构 CAS 登录号:159445-62-2, 奥林帕星
分子式 C73H89ClN10O26
分子量 1558.01
CAS 登录号 159445-62-2
分子行输入简码 SMILES [C@@H]16NC(=O)[C@@H](NC(=O)[C@H](NC(=O)[C@H](NC)CC(C)C)[C@H](O)C%11=CC=C(OC2=CC1=CC(=C2O[C@@H]3O[C@@H]([C@@H](O)[C@H](O)[C@H]3O[C@@H]4O[C@H]([C@@H](O)[C@@](N)(C4)C)C)CO)OC%10=CC=C([C@@H](O[C@@H]5O[C@H]([C@H](O)[C@@](N)(C5)C)C)[C@@H]8NC(=O)[C@H](NC6=O)C7=CC(=C(O)C=C7)C9=C([C@H](NC8=O)C(=O)O)C=C(O)C=C9O)C=C%10Cl)C=C%11)CC(=O)N
国际化学标识码 InChI 1S/C73H89ClN10O26/c1-27(2)16-39(78-7)64(95)83-54-56(90)30-8-12-35(13-9-30)105-44-19-33-20-45(60(44)110-71-61(58(92)57(91)46(26-85)107-71)109-49-25-73(6,77)63(94)29(4)104-49)106-43-15-11-32(18-38(43)74)59(108-48-24-72(5,76)62(93)28(3)103-48)55-69(100)82-53(70(101)102)37-21-34(86)22-42(88)50(37)36-17-31(10-14-41(36)87)51(66(97)84-55)81-67(98)52(33)80-65(96)40(23-47(75)89)79-68(54)99/h8-15,17-22,27-29,39-40,46,48-49,51-59,61-63,71,78,85-88,90-94H,16,23-26,76-77H2,1-7H3,(H2,75,89)(H,79,99)(H,80,96)(H,81,98)(H,82,100)(H,83,95)(H,84,97)(H,101,102)/t28-,29-,39+,40-,46+,48-,49-,51+,52+,53-,54+,55-,56+,57+,58-,59+,61+,62-,63+,71-,72-,73-/m0/s1
国际化学标识检索码 InChIKey BURNGCVAUVZERJ-MNIPIRDOSA-N
物理化学性质
密度 1.601g/cm3 (计算值)
市场分析报告
请浏览奥林帕星市场分析报告总目录
相关产品
3,5-二氯-4-甲氧基苯甲酸乙酯  1,3-二乙烯基-1,3-二甲基-1,3-二氯二硅...  N4-苄基-6-氯嘧啶-4,5-二胺  Cyclo-Rhamnopentaose  (2R,3S,4S,5R,6R)-2-(羟基甲基)...  异-戊基苯  4-正丁基甲苯  4-[[4-[[4-(3-氨基丙酰氨基)-1-甲基...  O-丁基甲苯  2-羟基-5-硝基苯甲醛肟  1-甲基-4-(1-甲基丙基)苯  (1R,2S)-1,2-二氯-1,2-二苯基乙烷  (2S,5S,6R,10R,11S)-10-庚基-...  乙二胺四乙酸二钠镉盐  乙二胺四乙酸二钠铅盐