Online Database of Chemicals from Around the World

2-[(17S,18S,19S,20R)-17-乙酰氧基-20-[(2S,3S,4S,5S,6R)-3-乙酰氧基-4,5-二羟基-6-(羟基甲基)四氢吡喃-2-基]氧基-17-羧基-18,19,21-三羟基-16-甲基二十一烷基]-6-羟基苯甲酸
[CAS# 160471-36-3]

供应商
CAS#: 160471-36-3
产品: 2-[(17S,18S,19S,20R)-17-乙酰氧基-20-[(2S,3S,4S,5S,6R)-3-乙酰氧基-4,5-二羟基-6-(羟基甲基)四氢吡喃-2-基]氧基-17-羧基-18,19,21-三羟基-16-甲基二十一烷基]-6-羟基苯甲酸
暂时没有厂家供应该产品。
基本信息
产品名称 2-[(17S,18S,19S,20R)-17-乙酰氧基-20-[(2S,3S,4S,5S,6R)-3-乙酰氧基-4,5-二羟基-6-(羟基甲基)四氢吡喃-2-基]氧基-17-羧基-18,19,21-三羟基-16-甲基二十一烷基]-6-羟基苯甲酸
英文名 2-[(17S,18S,19S,20R)-17-Acetyloxy-20-[(2S,3S,4S,5S,6R)-3-Acetyloxy-4,5-Dihydroxy-6-(Hydroxymethyl)Oxan-2-Yl]Oxy-17-Carboxy-18,19,21-Trihydroxy-16-Methylhenicosyl]-6-Hydroxybenzoic Acid
别名 2-[(17S,18S,19S,20R)-17-Acetoxy-20-[(2S,3S,4S,5S,6R)-3-Acetoxy-4,5-Dihydroxy-6-(Hydroxymethyl)Tetrahydropyran-2-Yl]Oxy-17-Carboxy-18,19,21-Trihydroxy-16-Methyl-Henicosyl]-6-Hydroxy-Benzoic Acid; 2-[(17S,18S,19S,20R)-17-Acetoxy-20-[[(2S,3S,4S,5S,6R)-3-Acetoxy-4,5-Dihydroxy-6-(Hydroxymethyl)-2-Tetrahydropyranyl]Oxy]-17-Carboxy-18,19,21-Trihydroxy-16-Methylhenicosyl]-6-Hydroxybenzoic Acid; 2-[(17S,18S,19S,20R)-17-Acetoxy-20-[(2S,3S,4S,5S,6R)-3-Acetoxy-4,5-Dihydroxy-6-Methylol-Tetrahydropyran-2-Yl]Oxy-17-Carboxy-18,19,21-Trihydroxy-16-Methyl-Henicosyl]-6-Hydroxy-Benzoic Acid
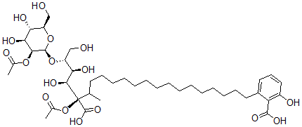
分子结构 CAS 登录号:160471-36-3, 2-[(17S,18S,19S,20R)-17-乙酰氧基-20-[(2S,3S,4S,5S,6R)-3-乙酰氧基-4,5-二羟基-6-(羟基甲基)四氢吡喃-2-基]氧基-17-羧基-18,19,21-三羟基-16-甲基二十一烷基]-6-羟基苯甲酸
分子式 C40H64O17
分子量 816.94
CAS 登录号 160471-36-3
分子行输入简码 SMILES [C@](C(=O)O)([C@@H](O)[C@H](O)[C@H](O[C@H]1[C@@H](OC(=O)C)[C@@H](O)[C@H](O)[C@H](O1)CO)CO)(OC(C)=O)C(CCCCCCCCCCCCCCCC2=CC=CC(=C2C(=O)O)O)C
国际化学标识码 InChI 1S/C40H64O17/c1-24(18-15-13-11-9-7-5-4-6-8-10-12-14-16-19-27-20-17-21-28(45)31(27)37(50)51)40(39(52)53,57-26(3)44)36(49)33(47)30(23-42)56-38-35(54-25(2)43)34(48)32(46)29(22-41)55-38/h17,20-21,24,29-30,32-36,38,41-42,45-49H,4-16,18-19,22-23H2,1-3H3,(H,50,51)(H,52,53)/t24?,29-,30-,32-,33-,34+,35+,36+,38+,40+/m1/s1
国际化学标识检索码 InChIKey BRQJNWFMGNHEQO-LYJPMCOASA-N
物理化学性质
密度 1.332g/cm3 (计算值)
沸点 989.8°C at 760 mmHg (计算值)
闪点 290.713°C (计算值)
参考文献
(1) Alois Fürstner and Ingo Konetzki. Total Synthesis of Caloporoside, J. Org. Chem., 1998, 63 (9), pp 3072–3080
市场分析报告
请浏览2-[(17S,18S,19S,20R)-17-乙酰氧基-20-[(2S,3S,4S,5S,6R)-3-乙酰氧基-4,5-二羟基-6-(羟基甲基)四氢吡喃-2-基]氧基-17-羧基-18,19,21-三羟基-16-甲基二十一烷基]-6-羟基苯甲酸市场分析报告总目录
相关产品
(2Z,4R,5R)-N-羟基-2-(5-羟基-6...  来普生苷I  N-[(1S,5R)-3,9-二甲基-3,9-二氮...  2,2-二异丙基-1,3-恶噻戊环  9,10-二氧代蒽-1-重氮鎓氯化物  固红铝盐  1-[3-[3,4-二羟基-4-[[(E)-8-羟...  1-[3-[3,4-二羟基-4-[(4-羟基苯甲酰...  1-去氧基-嗜眠菌素  Menoxymycin A  4-乙基-1,2,4-三唑烷-3,5-二酮  4-去乙酰基紫杉醇  2-羟基乙基硝酸酯  膦酰乙醛  1-(3-氯-4-戊氧基苯基)-2-(4,5-二氢...