Online Database of Chemicals from Around the World

(5R,6R)-5-异丙基-6-甲基-1,3-氧硫杂环已烷
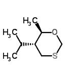
[CAS# 170960-94-8]

供应商
深圳爱拓化学有限公司 中国 询价快递  
+86 13417589054//+86 13424336463
info@atomaxchem.com,atomax.chemicals@gmail.com,
QQ 交流
化学品生产商
基本信息
产品名称 (5R,6R)-5-异丙基-6-甲基-1,3-氧硫杂环已烷
英文名 (5R,6R)-5-Isopropyl-6-Methyl-1,3-Oxathiane
别名 (5R,6R)-5-isopropyl-6-methyl-1,3-oxathiane
分子结构 CAS 登录号:170960-94-8, (5R,6R)-5-异丙基-6-甲基-1,3-氧硫杂环已烷
分子式 C8H16OS
分子量 160.28
CAS 登录号 170960-94-8
分子行输入简码 SMILES C[C@@H]1[C@H](CSCO1)C(C)C
国际化学标识码 InChI 1S/C8H16OS/c1-6(2)8-4-10-5-9-7(8)3/h6-8H,4-5H2,1-3H3/t7-,8-/m1/s1
国际化学标识检索码 InChIKey RNICGPAMJAQHEW-HTQZYQBOSA-N
物理化学性质
密度 0.948g/cm3 (计算值)
沸点 219.475°C at 760 mmHg (计算值)
闪点 86.536°C (计算值)
折射率 1.466 (计算值)
市场分析报告
请浏览(5R,6R)-5-异丙基-6-甲基-1,3-氧硫杂环已烷市场分析报告总目录
相关产品
2-甲基-2-丙基1,3-噻唑-2-基氨基甲酸酯  5-(1-哌嗪基)-1-戊胺  S-(2-甲基-2-丙基)2-吡啶硫代甲酸酯  3-(丙烯酰氧基)-2-羟基丙基甲基丙烯酸酯  3-乙氧基-3-氧代-2-苯丙酸  (E)-1-(2-氯苯基)-N-(4-甲氧基苯基)...  1-羟基-2,2-二甲基环戊烷羧酸  3-羟基-4,4-二甲基四氢-3-呋喃羧酸  2,3-二甲基呋喃并[3,2-c]吡啶  8,8'-[(二甲基锡烷二基)二(氧基)]二喹啉  (4,5-二甲基-1H-咪唑-1-基)乙腈  (1S,2R,6R)-6-异丙基-3-甲基-3-环...  (1R)-2-(羟基甲基)-2-氮杂双环[2.2....  (1R)-2-(羟基甲基)-5-甲氧基-2-氮杂双...  乙基4-乙基-2,5-二氢-1H-咪唑-1-羧酸酯