Online Database of Chemicals from Around the World

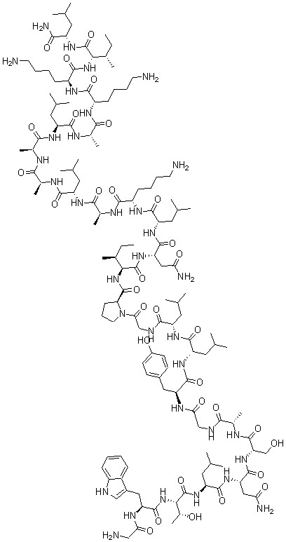
甘氨酰-色氨酰-苏氨酰-亮氨酰-天冬氨酰胺酰-丝氨酰-丙氨酰-甘氨酰-酪氨酰-亮氨酰-亮氨酰-甘氨酰-赖氨酰-异亮氨酰-天冬氨酰胺酰-亮氨酰-赖氨酰-丙氨酰-亮氨酰-丙氨酰-丙氨酰-亮氨酰-丙氨酰-赖氨酰-赖氨酰-异亮氨酰-亮氨酰胺
[CAS# 177352-81-7]

基本信息
产品名称 甘氨酰-色氨酰-苏氨酰-亮氨酰-天冬氨酰胺酰-丝氨酰-丙氨酰-甘氨酰-酪氨酰-亮氨酰-亮氨酰-甘氨酰-赖氨酰-异亮氨酰-天冬氨酰胺酰-亮氨酰-赖氨酰-丙氨酰-亮氨酰-丙氨酰-丙氨酰-亮氨酰-丙氨酰-赖氨酰-赖氨酰-异亮氨酰-亮氨酰胺
英文名 Glycyl-L-Tryptophyl-L-Threonyl-L-Leucyl-L-Asparaginyl-L-Seryl-L-Alanylglycyl-L-Tyrosyl-L-Leucyl-L-Leucylglycyl-L-Prolyl-L-Isoleucyl-L-Asparaginyl-L-Leucyl-L-Lysyl-L-Alanyl-L-Leucinamide
分子结构 CAS 登录号:177352-81-7, 甘氨酰-色氨酰-苏氨酰-亮氨酰-天冬氨酰胺酰-丝氨酰-丙氨酰-甘氨酰-酪氨酰-亮氨酰-亮氨酰-甘氨酰-赖氨酰-异亮氨酰-天冬氨酰胺酰-亮氨酰-赖氨酰-丙氨酰-亮氨酰-丙氨酰-丙氨酰-亮氨酰-丙氨酰-赖氨酰-赖氨酰-异亮氨酰-亮氨酰胺
CAS 登录号 177352-81-7
市场分析报告
请浏览甘氨酰-色氨酰-苏氨酰-亮氨酰-天冬氨酰胺酰-丝氨酰-丙氨酰-甘氨酰-酪氨酰-亮氨酰-亮氨酰-甘氨酰-赖氨酰-异亮氨酰-天冬氨酰胺酰-亮氨酰-赖氨酰-丙氨酰-亮氨酰-丙氨酰-丙氨酰-亮氨酰-丙氨酰-赖氨酰-赖氨酰-异亮氨酰-亮氨酰胺市场分析报告总目录
相关产品
瘦素(人)  5-(2-呋喃基)-1,3-环己烷二酮  (3-氨基-1-甲基丙基)-氨基甲酸叔丁酯  1,3-苯并恶唑-6-胺  5-(三氟甲基)-2,1,3-苯并噻二唑  分散黄 235  3-氟-4-(三氟甲氧基)苯酚  N-[(1,1-二甲基乙氧基)羰基]-D-丙氨酸-...  (2S,4S)-2-[(二甲基氨基)羰基]-4-巯...  3-[1,3,3,3-四甲基-1-[(三甲基硅烷基...  3,6-二-1H-咪唑-1-基-哒嗪  N-甲基-N-[(苯基甲氧基)羰基]-L-正缬氨酸  4-氯-1-(3,4,5-三甲氧基苯基)-1-丁酮  1H-吡咯-2,3,4,5-D4  椰油基脂肪酸与己二酸,季戊四醇硬脂酸和松香-油脂肪...