Online Database of Chemicals from Around the World

1-(2-乙酰基四氢-6alpha-羟基-2,3A,5-三甲基呋喃并[2,3-d]-1,3-二氧杂环戊烯-5-基)-乙酮
[CAS# 18114-49-3]

基本信息
产品名称 1-(2-乙酰基四氢-6alpha-羟基-2,3A,5-三甲基呋喃并[2,3-d]-1,3-二氧杂环戊烯-5-基)-乙酮
英文名 1-(2-Acetyltetrahydro-6alpha-Hydroxy-2,3A,5-Trimethylfuro[2,3-d]-1,3-Dioxol-5-Yl)-Ethanone
别名 1-(2-Ethanoyl-6A-Hydroxy-2,3A,5-Trimethyl-6H-Furo[4,5-D][1,3]Dioxol-5-Yl)Ethanone; 2,3-Butanedione Trimer; 2,3-Diacetyl-3Alpha,5,6,6Alpha-Tetrahydro-6Alpha-Hydroxy-2,3Alpha,5-Trimethylfuro(2,3-D)-1,3-Dioxile
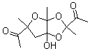
分子结构 CAS 登录号:18114-49-3, 1-(2-乙酰基四氢-6alpha-羟基-2,3A,5-三甲基呋喃并[2,3-d]-1,3-二氧杂环戊烯-5-基)-乙酮
分子式 C12H18O6
分子量 258.27
CAS 登录号 18114-49-3
分子行输入简码 SMILES CC12OC(OC1(O)CC(O2)(C(=O)C)C)(C(=O)C)C
国际化学标识码 InChI 1S/C12H18O6/c1-7(13)9(3)6-12(15)11(5,16-9)17-10(4,18-12)8(2)14/h15H,6H2,1-5H3
物理化学性质
密度 1.279g/cm3 (计算值)
沸点 370.207°C at 760 mmHg (计算值)
闪点 137.501°C (计算值)
市场分析报告
请浏览1-(2-乙酰基四氢-6alpha-羟基-2,3A,5-三甲基呋喃并[2,3-d]-1,3-二氧杂环戊烯-5-基)-乙酮市场分析报告总目录
相关产品
4,4'-(1,3-丙烷二基)二-1-哌啶丙腈  硝基-甲烷离子(1-)  四(甲基-D3)-硅烷  (三甲基硅烷基)-氨基甲酸甲酯  丁基二氯甲基-硅烷  1,1,1,2,2-五氟-丙烷  3-溴-4,6-二甲基-2-氧代-2H-吡喃-5-...  乙酰氧基乙基甲基二氯硅烷  三氯叔丁基-硅烷  磺胺甲氧二嗪  1-(2,4,5-三甲氧基苯基)-乙酮  1,3-二甲基四甲氧基二硅氧烷  N-(4-(甲基氨基)-5-氧代-1,3,6-环庚...  1-(2-羟基乙基)-2,5-吡咯烷二酮  (13Z)-N-(2-羟基乙基)-13-二十二碳烯...