Online Database of Chemicals from Around the World

肾上腺皮质激素酰胺(1-16)
[CAS# 18806-03-6]

供应商
CAS#: 18806-03-6
产品: 肾上腺皮质激素酰胺(1-16)
暂时没有厂家供应该产品。
基本信息
产品名称 肾上腺皮质激素酰胺(1-16)
英文名 Acth Amide (1-16)
别名 Acth Amide(1-16); Alpha1-16-Corticotropin, 16-L-Lysinamide-; Acth (1-16)-Nh2
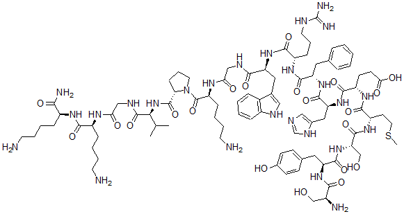
分子结构 CAS 登录号:18806-03-6, 肾上腺皮质激素酰胺(1-16)
分子式 C89H134N26O21S
分子量 1936.26
CAS 登录号 18806-03-6
分子行输入简码 SMILES [C@@H]6(N(C(=O)[C@@H](NC(=O)CNC(=O)[C@@H](NC(=O)[C@@H](NC(=O)[C@@H](NC(=O)[C@@H](NC(=O)[C@@H](NC(=O)[C@@H](NC(=O)[C@@H](NC(=O)[C@@H](NC(=O)[C@@H](N)CO)CC1=CC=C(O)C=C1)CO)CCSC)CCC(=O)O)CC2=CN=C[NH]2)CC3=CC=CC=C3)CCCNC(=N)N)CC4=C[NH]C5=C4C=CC=C5)CCCCN)CCC6)C(=O)N[C@H](C(=O)NCC(=O)N[C@H](C(=O)N[C@H](C(=O)N)CCCCN)CCCCN)C(C)C
国际化学标识码 InChI 1S/C89H134N26O21S/c1-50(2)74(87(135)101-46-71(119)103-60(22-10-13-34-91)78(126)105-59(75(94)123)21-9-12-33-90)114-86(134)70-25-16-37-115(70)88(136)64(23-11-14-35-92)104-72(120)45-100-77(125)67(41-53-43-99-58-20-8-7-19-56(53)58)111-79(127)61(24-15-36-98-89(95)96)106-82(130)66(39-51-17-5-4-6-18-51)110-84(132)68(42-54-44-97-49-102-54)112-80(128)62(30-31-73(121)122)107-81(129)63(32-38-137-3)108-85(133)69(48-117)113-83(131)65(109-76(124)57(93)47-116)40-52-26-28-55(118)29-27-52/h4-8,17-20,26-29,43-44,49-50,57,59-70,74,99,116-118H,9-16,21-25,30-42,45-48,90-93H2,1-3H3,(H2,94,123)(H,97,102)(H,100,125)(H,101,135)(H,103,119)(H,104,120)(H,105,126)(H,106,130)(H,107,129)(H,108,133)(H,109,124)(H,110,132)(H,111,127)(H,112,128)(H,113,131)(H,114,134)(H,121,122)(H4,95,96,98)/t57-,59-,60-,61-,62-,63-,64-,65-,66-,67-,68-,69-,70-,74-/m0/s1
国际化学标识检索码 InChIKey RPOBENGDFDVERW-OWTLXNSISA-N
市场分析报告
请浏览肾上腺皮质激素酰胺(1-16)市场分析报告总目录
相关产品
17-氧代地塞米松  (4-乙硫基苯基)N-甲基氨基甲酸酯  赖丙氨酸  7-羟基二芰皂毒素  3'-氯-3'-脱氧尿苷  生帕拉肽乙酸盐水合物  6alpha-氟-17,21-二羟基-16alph...  苯并[pqr]二萘并[8,1,2-bcd:2',1...  1-(1H-苯并三唑-5-基)-3-苯基脲  4,4',6,6'-四硝基联苯甲酸  4-氟-19-去甲睾酮  四苯并[de,h,kl,rst]戊芬  4'-羟基罂粟碱  Acrophyllidine  4-氟雌二醇