Online Database of Chemicals from Around the World

胸苷5'-O-(1-硫代三磷酸酯)
[CAS# 18883-94-8]

供应商
Achemica 瑞士 询价快递  
+41 (24) 466-2929
contact@achemica.com
化学品生产商(2010 年起)
基本信息
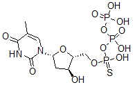
产品名称 胸苷5'-O-(1-硫代三磷酸酯)
英文名 Thymidine 5'-O-(1-Thiotriphosphate)
别名 [Hydroxy-[[(2R,3S,5R)-3-Hydroxy-5-(5-Methyl-2,4-Dioxo-Pyrimidin-1-Yl)Tetrahydrofuran-2-Yl]Methoxy]Phosphinothioyl] Phosphono Hydrogen Phosphate; [Hydroxy-[[(2R,3S,5R)-3-Hydroxy-5-(5-Methyl-2,4-Dioxo-1-Pyrimidinyl)-2-Tetrahydrofuranyl]Methoxy]Phosphinothioyl] Phosphono Hydrogen Phosphate; [[(2R,3S,5R)-5-(2,4-Diketo-5-Methyl-Pyrimidin-1-Yl)-3-Hydroxy-Tetrahydrofuran-2-Yl]Methoxy-Hydroxy-Thiophosphoryl] Phosphono Hydrogen Phosphate
分子结构 CAS 登录号:18883-94-8, 胸苷5'-O-(1-硫代三磷酸酯)
分子式 C10H17N2O13P3S
分子量 498.23
CAS 登录号 18883-94-8
分子行输入简码 SMILES [C@@H]1(CO[P](O)(O[P](=O)(O)O[P](=O)(O)O)=S)[C@@H](O)C[C@@H](O1)N2C(=O)NC(=O)C(=C2)C
国际化学标识码 InChI 1S/C10H17N2O13P3S/c1-5-3-12(10(15)11-9(5)14)8-2-6(13)7(23-8)4-22-28(21,29)25-27(19,20)24-26(16,17)18/h3,6-8,13H,2,4H2,1H3,(H,19,20)(H,21,29)(H,11,14,15)(H2,16,17,18)/t6-,7+,8+,28?/m0/s1
国际化学标识检索码 InChIKey PXHHTOSRELKWOE-MXWQNOQOSA-N
物理化学性质
密度 1.926g/cm3 (计算值)
市场分析报告
请浏览胸苷5'-O-(1-硫代三磷酸酯)市场分析报告总目录
相关产品
7-[(4,6-二氯-1,3,5-三嗪-2-基)氨...  异丁基铝二氯化物  1,5-己二烯二环氧化物  5-联苯-3-基-2H-四唑  二烯丙基甲酰胺  2-氯乙基甲基丙烯酸酯  (1R,4S,6S)-6-(3-甲基-1,2-恶唑...  萘并(8,1,2-bcd)苝  1-甲基氮杂环辛烷-2-酮  (3E)-3-[[4-[(Z)-3-[4-[(2-...  6-氨基-7-氯-5,8-二氧代喹啉  1-硬脂酰-2-花生酰基磷脂酰胆碱  6H-2-氧杂薁-6-酮  二苯并[cd,lm]苝  (alpha-氰基苯乙烯基)膦酸二乙酯