Online Database of Chemicals from Around the World

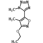
5-(3-乙氧基-4-甲基-1,2-恶唑-5-基)-1-甲基-1H-四唑
[CAS# 194286-82-3]

供应商
深圳爱拓化学有限公司 中国 询价快递  
+86 13417589054//+86 13424336463
info@atomaxchem.com,atomax.chemicals@gmail.com,
QQ 交流
化学品生产商
基本信息
产品名称 5-(3-乙氧基-4-甲基-1,2-恶唑-5-基)-1-甲基-1H-四唑
英文名 5-(3-Ethoxy-4-Methyl-1,2-Oxazol-5-Yl)-1-Methyl-1H-Tetrazole
别名 3-ethoxy-4-methyl-5-(1-methyl-1H-tetrazol-5-yl)isoxazole
分子结构 CAS 登录号:194286-82-3, 5-(3-乙氧基-4-甲基-1,2-恶唑-5-基)-1-甲基-1H-四唑
分子式 C8H11N5O2
分子量 209.21
CAS 登录号 194286-82-3
分子行输入简码 SMILES O(c1noc(c1C)c2nnnn2C)CC
国际化学标识码 InChI 1S/C8H11N5O2/c1-4-14-8-5(2)6(15-10-8)7-9-11-12-13(7)3/h4H2,1-3H3
国际化学标识检索码 InChIKey ASVDGZPGVHDWFG-UHFFFAOYSA-N
物理化学性质
密度 1.449g/cm3 (计算值)
沸点 408.791°C at 760 mmHg (计算值)
闪点 201.03°C (计算值)
折射率 1.651 (计算值)
市场分析报告
请浏览5-(3-乙氧基-4-甲基-1,2-恶唑-5-基)-1-甲基-1H-四唑市场分析报告总目录
相关产品
3-乙氧基-4-甲基-1,2-恶唑-5-甲酰胺  3-乙氧基-4-甲基-1,2-恶唑-5-甲腈  5-(3-乙氧基-4-甲基-1,2-恶唑-5-基)...  5-(3-乙氧基-4-甲基-1,2-恶唑-5-基)...  3-乙氧基-4-甲基-5-(1-甲基-1H-咪唑-...  3-(3-乙氧基-4-甲基-1,2-恶唑-5-基)...  甲基(1S)-1-氨基-3-乙烯基-3-环戊烯-1...  甲基1-氨基-3-异丙烯基-3-环己烯-1-羧酸酯  3-乙酰氨基-4-甲基-2-氧代戊酸  3-羟基-2-哌啶羧酸  (2R,3R,4R)-2,5-二(羟基甲基)-3,...  1H-吡啶并[2,3-f][1,2,3,5]T乙基...  [1,3]二氧杂环戊并[4,5-e][1,3]硫氮...  4-氰基-1-甲基-1,4-二氢-3-吡啶甲酰胺  甲基5-甲基-2-噻吩羧酸酯