Online Database of Chemicals from Around the World

曲可克肽
[CAS# 20282-58-0]

供应商
CAS#: 20282-58-0
产品: 曲可克肽
暂时没有厂家供应该产品。
基本信息
产品名称 曲可克肽
英文名 Tricosactide
别名 Tricosactide [Inn]
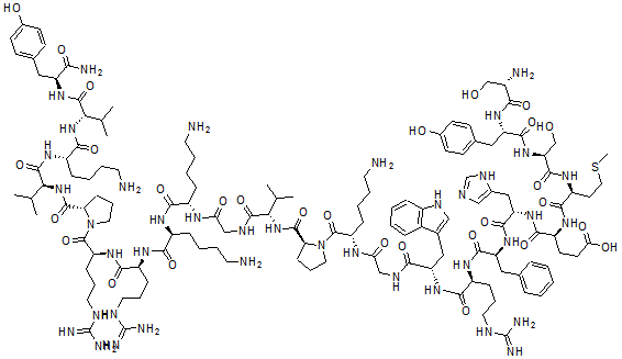
分子结构 CAS 登录号:20282-58-0, 曲可克肽
分子式 C131H204N40O29S
分子量 2835.36
CAS 登录号 20282-58-0
分子行输入简码 SMILES [C@@H]7(N(C(=O)[C@@H](NC(=O)[C@@H](NC(=O)[C@@H](NC(=O)[C@@H](NC(=O)CNC(=O)[C@@H](NC(=O)[C@H]6N(C(=O)[C@@H](NC(=O)CNC(=O)[C@@H](NC(=O)[C@@H](NC(=O)[C@@H](NC(=O)[C@@H](NC(=O)[C@@H](NC(=O)[C@@H](NC(=O)[C@@H](NC(=O)[C@@H](NC(=O)[C@@H](N)CO)CC1=CC=C(O)C=C1)CO)CCSC)CCC(=O)O)CC2=CN=C[NH]2)CC3=CC=CC=C3)CCCNC(=N)N)CC4=C[NH]C5=C4C=CC=C5)CCCCN)CCC6)C(C)C)CCCCN)CCCCN)CCCNC(=N)N)CCCNC(=N)N)CCC7)C(=O)N[C@H](C(=O)N[C@H](C(=O)N[C@H](C(=O)N[C@H](C(=O)N)CC8=CC=C(O)C=C8)C(C)C)CCCCN)C(C)C
国际化学标识码 InChI 1S/C131H204N40O29S/c1-72(2)105(124(196)150-68-102(176)152-85(30-13-17-50-132)111(183)154-86(31-14-18-51-133)112(184)155-88(34-21-54-145-129(138)139)113(185)160-93(36-23-56-147-131(142)143)128(200)171-58-25-38-101(171)123(195)169-107(74(5)6)125(197)159-87(32-15-19-52-134)117(189)167-106(73(3)4)126(198)161-94(108(137)180)60-76-39-43-80(174)44-40-76)168-122(194)100-37-24-57-170(100)127(199)92(33-16-20-53-135)153-103(177)67-149-110(182)97(63-78-65-148-84-29-12-11-28-82(78)84)164-114(186)89(35-22-55-146-130(140)141)156-118(190)96(61-75-26-9-8-10-27-75)163-120(192)98(64-79-66-144-71-151-79)165-115(187)90(47-48-104(178)179)157-116(188)91(49-59-201-7)158-121(193)99(70-173)166-119(191)95(162-109(181)83(136)69-172)62-77-41-45-81(175)46-42-77/h8-12,26-29,39-46,65-66,71-74,83,85-101,105-107,148,172-175H,13-25,30-38,47-64,67-70,132-136H2,1-7H3,(H2,137,180)(H,144,151)(H,149,182)(H,150,196)(H,152,176)(H,153,177)(H,154,183)(H,155,184)(H,156,190)(H,157,188)(H,158,193)(H,159,197)(H,160,185)(H,161,198)(H,162,181)(H,163,192)(H,164,186)(H,165,187)(H,166,191)(H,167,189)(H,168,194)(H,169,195)(H,178,179)(H4,138,139,145)(H4,140,141,146)(H4,142,143,147)/t83-,85-,86-,87-,88-,89-,90-,91-,92-,93-,94-,95-,96-,97-,98-,99-,100-,101-,105-,106-,107-/m0/s1
国际化学标识检索码 InChIKey OGFPDRDMMGEFOE-VELINFEKSA-N
市场分析报告
请浏览曲可克肽市场分析报告总目录
相关产品
尼达霉素  苯基偶氮苄氧羰基-脯氨酰-亮氨酰-甘氨酰-脯氨酰-...  3-氮杂-alpha-高-5alpha-胆甾烷-4...  3,7-二氧杂壬烷-1,1,1,5,5,9,9,9...  二甲基(3-硬脂酰胺丙基)(3-磺酸基丙基)铵  千里酰胆碱  1-溴-3-甲基戊-1-炔-3-醇  硫氰醋酸异龙脑  2,4-二氨基-5-(4-甲氧基苄基)嘧啶  3-[[(1-羟基-2-萘基)羰基]氨基]-4-(...  1-(2-甲基-1-氧代丙基)氮丙啶  1-(3-氯苯甲酰基)氮丙啶  1-乙基己基丁酸酯  5-溴-2-氟苄基胺盐酸盐  芬喹唑