Online Database of Chemicals from Around the World

(1-异丙基-3,3-二甲基-2-氮杂环丁基)甲醇
[CAS# 204848-27-1]

供应商
深圳爱拓化学有限公司 中国 询价快递  
+86 13417589054//+86 13424336463
info@atomaxchem.com,atomax.chemicals@gmail.com,
QQ 交流
化学品生产商
基本信息
产品名称 (1-异丙基-3,3-二甲基-2-氮杂环丁基)甲醇
英文名 (1-Isopropyl-3,3-Dimethyl-2-Azetidinyl)Methanol
别名 (1-isopropyl-3,3-dimethylazetidin-2-yl)methanol
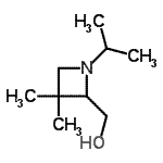
分子结构 CAS 登录号:204848-27-1, (1-异丙基-3,3-二甲基-2-氮杂环丁基)甲醇
分子式 C9H19NO
分子量 157.25
CAS 登录号 204848-27-1
分子行输入简码 SMILES CC(C)N1CC(C1CO)(C)C
国际化学标识码 InChI 1S/C9H19NO/c1-7(2)10-6-9(3,4)8(10)5-11/h7-8,11H,5-6H2,1-4H3
国际化学标识检索码 InChIKey ACUHFHWLFXUUOQ-UHFFFAOYSA-N
物理化学性质
密度 0.919g/cm3 (计算值)
沸点 198.989°C at 760 mmHg (计算值)
闪点 59.64°C (计算值)
折射率 1.459 (计算值)
市场分析报告
请浏览(1-异丙基-3,3-二甲基-2-氮杂环丁基)甲醇市场分析报告总目录
相关产品
甲基3,3-二甲基-2-吖丁啶羧酸酯  6-甲基庚基2-{4-[4,6-二(4-联苯基)-...  甲基2-氨基-4-异丙基苯甲酸酯  (4R)-4-苄基-5,5-二甲基-1,3-恶唑烷...  2-羟基-5-(4-甲基苯甲酰)-3-硝基苯基(5...  4-(氨基甲基)-3-吡啶醇  4-乙酰基-N-{[(2-甲基-2-丙基)氧基]羰...  3-羟基-5-(羟基甲基)-2(1H)-吡啶酮  3-甲氧基-6-甲基-2(1H)-吡啶酮  3-氧代-3,4-二氢-2H-1,4-苯并噻嗪-6...  (3E)-2-甲基-3-庚烯  2-[(2R,8R,8aS)-8,8A-二甲基-1...  (4R,4aS,6R,8aS)-6-异丙烯基-4,...  2,4,6-三烯丙基苯酚  N-乙酰基-3-甲基-L-缬氨酰-3-甲基-L-缬...