Online Database of Chemicals from Around the World

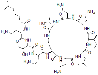
环杆菌素 B
[CAS# 20905-50-4]

供应商
CAS#: 20905-50-4
产品: 环杆菌素 B
暂时没有厂家供应该产品。
基本信息
产品名称 环杆菌素 B
英文名 Circulin B
别名 N-[(1S)-3-Amino-1-[[(2R)-1-[[3-Amino-1-[[(6R,9S,15S,18S,21S)-6,9,18-Tris(2-Aminoethyl)-3-(1-Hydroxyethyl)-15-Isobutyl-2,5,8,11,14,17,20-Heptaoxo-12-Sec-Butyl-1,4,7,10,13,16,19-Heptazacyclotricos-21-Yl]Carbamoyl]Propyl]Carbamoyl]-2-Hydroxy-Propyl]Carbamoyl]Propyl]-6-Methyl-Heptanamide; N-[(1S)-3-Amino-1-[[[(2R)-1-[[[3-Amino-1-[Oxo-[[(6R,9S,15S,18S,21S)-6,9,18-Tris(2-Aminoethyl)-3-(1-Hydroxyethyl)-15-Isobutyl-2,5,8,11,14,17,20-Heptaoxo-12-Sec-Butyl-1,4,7,10,13,16,19-Heptazacyclotricos-21-Yl]Amino]Methyl]Propyl]Amino]-Oxomethyl]-2-Hydroxypropyl]Amino]-Oxomethyl]Propyl]-6-Methylheptanamide; N-[(1S)-3-Amino-1-[[(2R)-1-[[3-Amino-1-[[(6R,9S,15S,18S,21S)-6,9,18-Tris(2-Aminoethyl)-3-(1-Hydroxyethyl)-15-Isobutyl-2,5,8,11,14,17,20-Heptaketo-12-Sec-Butyl-1,4,7,10,13,16,19-Heptazacyclotricos-21-Yl]Carbamoyl]Propyl]Carbamoyl]-2-Hydroxy-Propyl]Carbamoyl]Propyl]-6-Methyl-Enanthamide
分子结构 CAS 登录号:20905-50-4, 环杆菌素 B
分子式 C52H98N16O13
分子量 1155.45
CAS 登录号 20905-50-4
分子行输入简码 SMILES [C@H]1(NC(=O)[C@@H](NC(=O)[C@@H](NC(=O)C(NC(=O)C(NC(=O)[C@@H](NC(=O)CCCCC(C)C)CCN)[C@H](O)C)CCN)CCNC(=O)C(NC(=O)[C@H](NC(=O)[C@@H](NC(=O)C(NC1=O)[C@H](CC)C)CCN)CCN)[C@H](O)C)CCN)CC(C)C
国际化学标识码 InChI 1S/C52H98N16O13/c1-9-29(6)40-51(80)63-34(16-22-55)43(72)61-36(18-24-57)48(77)67-41(30(7)69)50(79)58-25-19-37(46(75)60-33(15-21-54)45(74)65-38(26-28(4)5)49(78)66-40)62-44(73)35(17-23-56)64-52(81)42(31(8)70)68-47(76)32(14-20-53)59-39(71)13-11-10-12-27(2)3/h27-38,40-42,69-70H,9-26,53-57H2,1-8H3,(H,58,79)(H,59,71)(H,60,75)(H,61,72)(H,62,73)(H,63,80)(H,64,81)(H,65,74)(H,66,78)(H,67,77)(H,68,76)/t29-,30+,31+,32-,33-,34-,35?,36+,37-,38-,40?,41?,42?/m0/s1
国际化学标识检索码 InChIKey DRHFCEIZVVAMEH-LKUIRFIBSA-N
市场分析报告
请浏览环杆菌素 B市场分析报告总目录
相关产品
2-(2-甲基丙基氨基)乙基 4-氨基苯甲酸酯  酞菁钯  N-[二(氮丙啶-1-基)磷酰]-2-氯-N-(2...  2-[二(2-氯乙基)氨基]-2,3-二氢-1H-...  2,3,7,8,12,13,17,18-八乙基卟吩...  (7E,10E,13E,16E)-二十二碳-7,1...  2-(2-庚炔-1-基硫代)-苯酚 1-乙酸酯  (8E,11E,14E,17E)-二十碳-8,11...  1-氯-4-(4-甲氧基苯基)硫基-苯  (11E,14E,17E)-二十碳-11,14,1...  2,4-二(二乙基氨基)环丁-1,3-二烯-1,3...  6-(甲硫基)-9H-嘌呤-9-胺  4-(溴甲基)-2,6-二叔-丁基苯酚  2-乙基-2-甲基氨基茚满-1,3-二酮  1-(2-氯苯氧基)-4-硝基苯