Online Database of Chemicals from Around the World

异麦芽糖基果糖苷
[CAS# 21291-36-1]

供应商
CAS#: 21291-36-1
产品: 异麦芽糖基果糖苷
暂时没有厂家供应该产品。
基本信息
产品名称 异麦芽糖基果糖苷
英文名 Isomaltosylfructoside
别名 (2S,3R,4S,5S,6R)-2-[(2S,3S,4S,5R)-3,4-Dihydroxy-2,5-Bis(Hydroxymethyl)Tetrahydrofuran-2-Yl]-6-(Hydroxymethyl)-2-[(2R,3R,4S,5S,6R)-3,4,5-Trihydroxy-6-(Hydroxymethyl)Tetrahydropyran-2-Yl]Oxy-Tetrahydropyran-3,4,5-Triol; (2S,3R,4S,5S,6R)-2-[(2S,3S,4S,5R)-3,4-Dihydroxy-2,5-Bis(Hydroxymethyl)-2-Tetrahydrofuranyl]-6-(Hydroxymethyl)-2-[[(2R,3R,4S,5S,6R)-3,4,5-Trihydroxy-6-(Hydroxymethyl)-2-Tetrahydropyranyl]Oxy]Tetrahydropyran-3,4,5-Triol; (2S,3R,4S,5S,6R)-2-[(2S,3S,4S,5R)-3,4-Dihydroxy-2,5-Dimethylol-Tetrahydrofuran-2-Yl]-6-Methylol-2-[(2R,3R,4S,5S,6R)-3,4,5-Trihydroxy-6-Methylol-Tetrahydropyran-2-Yl]Oxy-Tetrahydropyran-3,4,5-Triol
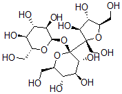
分子结构 CAS 登录号:21291-36-1, 异麦芽糖基果糖苷
分子式 C18H32O16
分子量 504.44
CAS 登录号 21291-36-1
分子行输入简码 SMILES [C@]2(O[C@@H]1[C@H](O)[C@@H](O)[C@H](O)[C@H](O1)CO)([C@H](O)[C@@H](O)[C@H](O)[C@H](O2)CO)[C@]3(CO)[C@@H](O)[C@H](O)[C@H](O3)CO
国际化学标识码 InChI 1S/C18H32O16/c19-1-5-8(23)11(26)13(28)16(31-5)34-18(15(30)12(27)9(24)6(2-20)33-18)17(4-22)14(29)10(25)7(3-21)32-17/h5-16,19-30H,1-4H2/t5-,6-,7-,8-,9-,10-,11+,12+,13-,14+,15-,16-,17+,18+/m1/s1
国际化学标识检索码 InChIKey UWESPNLLJKPBBH-JJNZJHQXSA-N
物理化学性质
密度 1.875g/cm3 (计算值)
沸点 906.466°C at 760 mmHg (计算值)
闪点 502.013°C (计算值)
市场分析报告
请浏览异麦芽糖基果糖苷市场分析报告总目录
相关产品
果糖基-赖氨酸  (2E,4E)-3,4-二甲基己-2,4-二烯  (3E,5Z)-4,5-二乙基-3,5-辛二烯  (5E,7Z)-5,7-十二碳二烯  4,4'-(4-吗啉基亚甲基)二[N,N-二甲基苯...  N-甲基-N-(3-甲基-2-降冰片基甲基)-1-...  2,3-二甲基-5-硝基吲哚  2,2-二乙氧基-1-(三甲基硅烷基)-1-氮杂-...  2-(3-噻吩基)吡啶  二甲基硫代氨基甲酸 O-新戊基酯  N-(羧甲基)-DL-半胱氨酸  四膜虫醇  二(2-乙基己基)戊二酸酯  二氢-5-甲基-5-苯基-2(3H)-呋喃酮  4-亚甲基氧杂环丁-2-酮