Online Database of Chemicals from Around the World

2-甲基-2-丙基[(3S,4S)-4-氟-3-吡咯烷基]氨基甲酸酯
[CAS# 213388-72-8]

供应商
CAS#: 213388-72-8
产品: 2-甲基-2-丙基[(3S,4S)-4-氟-3-吡咯烷基]氨基甲酸酯
暂时没有厂家供应该产品。
基本信息
产品名称 2-甲基-2-丙基[(3S,4S)-4-氟-3-吡咯烷基]氨基甲酸酯
英文名 2-Methyl-2-Propanyl [(3S,4S)-4-Fluoro-3-Pyrrolidinyl]Carbamate
别名 (3S,4S)-(4-Fluoropyrrolidin-3-yl)carbamic acid tert-butyl ester
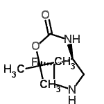
分子结构 CAS 登录号:213388-72-8, 2-甲基-2-丙基[(3S,4S)-4-氟-3-吡咯烷基]氨基甲酸酯
分子式 C9H17FN2O2
分子量 204.24
CAS 登录号 213388-72-8
分子行输入简码 SMILES CC(C)(C)OC(=O)N[C@H]1CNC[C@@H]1F
国际化学标识码 InChI 1S/C9H17FN2O2/c1-9(2,3)14-8(13)12-7-5-11-4-6(7)10/h6-7,11H,4-5H2,1-3H3,(H,12,13)/t6-,7-/m0/s1
国际化学标识检索码 InChIKey BZSDDSIFAGBZLT-BQBZGAKWSA-N
物理化学性质
密度 1.1±0.1g/cm3 (计算值)
沸点 295.3±40.0°C at 760 mmHg (计算值)
闪点 132.4±27.3°C (计算值)
折射率 1.464 (计算值)
市场分析报告
请浏览2-甲基-2-丙基[(3S,4S)-4-氟-3-吡咯烷基]氨基甲酸酯市场分析报告总目录
相关产品
[(3R,4R)-4-(氟甲基)-3-吡咯烷基](...  [(3R,4S)-4-(氟甲基)-3-吡咯烷基](...  3-[(甲基氨基甲酰)氨基]-2-噻吩羧酸  2-[(甲基氨基甲酰)氨基]-3-噻吩羧酸  2-(4-甲氧基苯氧基)丙酰肼  N'-甲基-1,3-苯并噻唑-2-甲酰肼  5-氨基-1-甲基-1H-咪唑-4-甲酰胺  噻吩并[2,3-b]吡啶-4-胺  3-(1,3-苯并噻唑-2-基)丙腈  4-(1,3-苯并噻唑-2-基)丁腈  5-(1,3-苯并噻唑-2-基)戊腈  3-(1,3-苯并噻唑-2-基)-2-硫代丙酰胺  3-(1,3-苯并噻唑-2-基)丙酰肼  3-(1,3-苯并噻唑-2-基)-N-羟基丙酰胺  4-(4-氯苯基)-4,5,6,7-四氢噻吩并[3...