Online Database of Chemicals from Around the World

3-[[[2-(4-甲基-1-哌嗪基)乙氧基]亚氨基]甲基]利福霉素
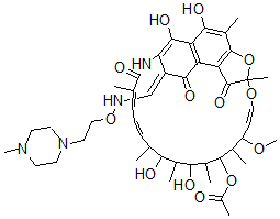
[CAS# 22912-78-3]

供应商
CAS#: 22912-78-3
产品: 3-[[[2-(4-甲基-1-哌嗪基)乙氧基]亚氨基]甲基]利福霉素
暂时没有厂家供应该产品。
基本信息
产品名称 3-[[[2-(4-甲基-1-哌嗪基)乙氧基]亚氨基]甲基]利福霉素
英文名 3-[[[2-(4-Methyl-1-Piperazinyl)Ethoxy]Imino]Methyl]Rifamycin
别名 3-Formylrifamycin Sv O-(2-(4-Methylpiperazinyl)Ethyl)Oxime; Brn 5418867
分子结构 CAS 登录号:22912-78-3, 3-[[[2-(4-甲基-1-哌嗪基)乙氧基]亚氨基]甲基]利福霉素
分子式 C45H62N4O13
分子量 867.00
CAS 登录号 22912-78-3
分子行输入简码 SMILES C(N1CCN(CC1)C)CON/C=C3/C(=O)C2=C4C(=C(C5=C2C(=O)C(O/C=C/C(OC)C(C(OC(=O)C)C(C(O)C(C(O)C(C)\C=C\C=C(C(=O)NC3=C4O)\C)C)C)C)(O5)C)C)O
国际化学标识码 InChI 1S/C45H62N4O13/c1-23-12-11-13-24(2)44(57)47-35-30(22-46-60-21-19-49-17-15-48(9)16-18-49)39(54)32-33(40(35)55)38(53)28(6)42-34(32)43(56)45(8,62-42)59-20-14-31(58-10)25(3)41(61-29(7)50)27(5)37(52)26(4)36(23)51/h11-14,20,22-23,25-27,31,36-37,41,46,51-53,55H,15-19,21H2,1-10H3,(H,47,57)/b12-11+,20-14+,24-13-,30-22+
国际化学标识检索码 InChIKey CRVLFAWRTSKXQI-CNQIUANTSA-N
市场分析报告
请浏览3-[[[2-(4-甲基-1-哌嗪基)乙氧基]亚氨基]甲基]利福霉素市场分析报告总目录
相关产品
3-[[[2-(1-哌啶基)乙氧基]亚氨基]甲基]...  壬烷过氧羧酸叔丁酯  3-硝基对甲苯甲酸异丙酯  N,N,N-三甲基-2-氧代-2-(苯基氨基)-乙...  N-氰基-N'-(甲氧基甲基)胍  九氧化二钼三锌  (9-甲基-9-氮杂双环[3.3.1]壬烷-7-基...  2-(三氯甲基)-噻唑烷盐酸盐  1,1'-(1,3-丙烷二基)二胸腺嘧啶  芴甲氧羰基-L-4-膦酰甲基苯丙氨酸  1,2-二氢邻苯二甲酸  2',4'-二羟基苯丙酮肟  3-溴-8-甲基-8-氮杂双环[3.2.1]辛烷  5-乙基-4-(4-羟基苯基)-6-甲基-3-环己...  3-氯-8-甲基-8-氮杂双环[3.2.1]辛烷